Dr. Cesar Nuevo
Dr. Cesar
Nuevo is the Research & Development
Manager of the Provident
Tree Farms Inc., one of the most successful
industrial plantations in the
country located in Agusan del Sur, Philippines
and Butuan City, Mindanao,
Philippines. He is responsible for research and
other applied technology
and resource development for the company's
plantations. His field of expertise
are: industrial tree plantations, tree
improvement, forest genetics, forest
resources management and timber
management silviculture, forest botany,
and
dendrology.Prior to joining PTFI, Dr Nuevo worked with the University
of the Philippines, College of Forestry and held several key positions, as
follows: Director, Institute of Forest Conservation (IFC) from 1987 to 1990,
Chief of the Forestry Research Office, IFC, from 1985 - 1987, Instructor and
later on became Assistant Professor between 1971 -
1991.Dr. Nuevo obtained
his Doctor of Philosophy from Oxford
University, Oxford, England in 1982;
Master of Science in Forestry (1977),
and Bachelor of Science in Forestry (1971)
at University of the Philippines,
Los Ba�os, Laguna, Philippines. He won several
awards and fellowships and
awarded as Outstanding Forester by the Society of
Filipino
Foresters in 1998.
Abstract
Provident Tree Farms, Inc. (PTFI), a private company engaged in industrial tree plantation of fast growing trees such as Acacia mangium and Gmelina arborea, launched a tree improvement program the objectives of which are to improve its volume harvest and quality of logs, to shorten its rotation cycle, and to cut down costs of silvicultural operations.
Over the years, provenances of Acacia species were acquired from Australia and PNG, but only local land races of Gmelina arborea were obtained from various locations in Mindanao. Selection of best provenances and individual trees were systematically carried out that led to the establishment of Seed Production Areas and the labelling of Candidate Plus Trees (CPT). Macrosomatic cloning was successfully developed, and this technology is now in use for mass production of planting materials from its established Ramet Multiplication Garden, and for cloning the CPT's . Cloned CPT's of Acacias are now established as movable breeding espaliers in its tree breeding arboretum. Replicates of those clones will soon be set up in its Clonal Seed Orchard.
Provident Tree Farms, Inc. (PTFI) is a private company engaged in the business of planting trees. It is an awardee of the first IFMA (Industrial Forest Management Agreement) of the country granted by the DENR (Department of Environment and Natural Resources). The tree plantations of PTFI are situated in the municipalities of Talacogon and San Luis, Agusan del Sur with an aggregate gross area of some 32,000 hectares.
In the early years, PTFI was formed to solely supply the matchwood requirements of its mother company, the PHIMCO Industries, Inc. However, in later developments, PTFI had also engaged in supplying round logs for the pulpwood needs of PICOP in Surigao del Sur, logs or lumber needs of CPII in Davao, and some other smaller companies in Butuan City and elsewhere including the pole needs of a subsidiary company, the Scan Pacific, Inc.
The top management of PTFI has emphasized in a concise statement that the business of tree plantation is a volume game. However, harvest figures from tree plantations made in the 80's have indicated a glaring situation that much had to be desired in terms of volume and quality of logs harvested if PTFI is to competitively stay in business. A necessity was felt that an R&D should be organized to address the issue and develop actions that will alleviate the situation. Therefore, a more formalized tree improvement program was launched in the early 90's to look at the applied silviculture adopted by the company and also the genetics of trees.
The following sections provide a brief discussion of what so far PTFI has achieved and intends to do in the future along the line of tree improvement. The presentations focus on the general tree improvement work being undertaken including reproduction technologies for the basic planting materials. All activities of the use improvement program are geared towards having a sustainable quality tree plantation by improving and maintaining the quality of each individual log. Since genes get transferred from generation to generation, some kind of permanency is infused into the tree plantation life cycle unlike pure silvicultural operations that need to be repeated year after year or every change in cycle.
Figure 1 is a generalized Tree Plantation Forestry System depicting management operations wherein the output of interest is mainly wood or timber product for conversion elsewhere into varied value-added goods according to market demands.
Fig. 1 Generalized Tree Plantation Forestry System

SILVICULTURAL REGIMES
Directly relevant to the subject matter of interest is the component subsystem of Tree Plantation given in Figure 1 above. A blow-up presentation of this subsystem is given in Figure 2 wherein various operations of the production system are listed vis-a-vis some management decisions to make and the involved factor of time.
TREE IMPROVEMENT APPLICATION
In a tree plantation, a target goal is set to hit a certain harvestable volume, say 200 m3/ha at the end of a rotation cycle. Hitting this target volume will depend on attained DBH and merchantable length, bole and wood quality, and number of pieces of timber or round wood per hectare. Any reduction in each will translate to reduction in commercial volume harvest.
The silvicultural operations/regimes identified by phase markers F, G, H, I, and J in Figure 2 will have to be done and repeated periodically within a rotation and in every change in cycle of rotation. These operations are carried out as needed steps to assure that the volume planned will be achieved. Each silvicultural step is an added cost to the plantation expenses.
Fig. 2 Generalized Operations and Time Frames in a Tree Plantation Life-Cycle
|
Phase Marker |
SILVICULTURAL OPERATIONS/REGIMES | DECISIONS TO MAKE | TIME FRAME FROM PLANTING (Months/Years) |
| A | PROCURE PROPAGULES | What species? Geographic source? Seeds or clones? |
=(4+) Mos. |
| B | RAISE PROPAGULES | Use root trainers? Plastic bags? Bare-root? |
|
| Seeds | (Option for direct sowing?) | =(3+) Mos. | |
| Clones | =(1.5+) Mos. | ||
| C | SURVEY MAP PLANTING SITE MATCH SPECIES TO SOIL/SITE | Close traverse? GPS? Collect soil sample? Criteria for matching? |
=(6+) Mos. |
| D | PREPARE PLANTING SITE; STAKE SPOTS & DIG HOLE |
Intensity according to cover and cultivation neede? Planting design & spacing of stakes |
+(1+) Mos. |
| E | PLANT THE RAISED PROPAGULES | 0 | |
| F | IMPLEMENT WEEDING REGIMES | Type; blanket? line? ring? Apply manual weeding? or use chemical | |
|
1st |
1 Mos. | ||
|
2nd |
3 Mos. | ||
|
3rd |
5 Mos. | ||
|
4th |
7 Mos. | ||
|
5th |
9 Mos. | ||
|
6th |
1 yr. | ||
|
7th |
1.25 yr. | ||
|
8th |
1.5 yr. | ||
|
9th |
1.75 yr. | ||
| G | IMPLEMENT PRUNING & SINGLING REGIMES | Prune up to what part or proportion of crown? Of the double and multiple leaders, wich one to remove? |
|
|
1st |
1 yr. | ||
|
2nd |
3 yrs. | ||
|
3rd |
5 yrs. | ||
| H | IMPLEMENT FERTILIZATION | What fertilizer to use? Dosage? |
|
|
1st |
6 Mos. | ||
|
2nd |
1 yr. | ||
|
3rd |
3 yrs. | ||
|
4th |
5 yrs | ||
| I | PROTECT FROM PEST & DISEASES | Use chemical or mechanical pesticide control? Regular monitoring? | All troughout on regular schedule as needed. |
| J | UNDERTAKE THINNING REGIMES | Selective? Systematic? Is there market? |
|
|
1st |
3 yrs. | ||
|
Final |
5 yrs. | ||
| K | HARVEST THE MATURE TREE CROPS | Clearfell or selective? Own equipment or by contract? |
10+ yrs. |
| L | PROCURE PROPAGULES FOR NEXT CYCLE |
An alternative approach can be undertaken that will reduce and minimize the silvicultural steps within each rotation and every change thereof. The alternative approach works on manipulation of the planting propagule to provide the correct quality right from the very start of the plantation operation. This is carried out by creating planting materials with better genetic make up that will grow into better trees in terms of DBH, merchantable length, bole form, etc. This alternative approach is the realm of tree improvement. Of course the approach is not simple and easy, and it cannot simply happen in an instance of time.
DEFINING & RECOGNIZING NATURAL VARIATION IN TREES
Trees differ from among themselves in various characteristics or features and appearances. Such differences can be viewed at three levels, namely: interspecific or between species; intraspecific or within species viewed as differences among provenances; and individual tree differences viewed as variation among trees within any given provenance or stand.
Fortunately, various tree characteristics can be measured and expressed in metric units as quantitative characters, e.g., DBH, height, specific gravity of wood, fiber length, etc. If large numbers of trees are measured, of say DBH, and the frequency of occurrence of the measurement is plotted against the measurement, then a familiar bell-shaped curve can be shown. Thus the statistics of Normal Distribution becomes an important tool in describing the occurrence of natural variation in many trees characters.
Quantitative characters of trees exhibit variation due to the intrinsic nature of the genetic material possessed and the combined effects of the environment on which the trees grow. A general equation model of phenotypic variation is herein presented as:
G2P=G2A+G2NA+G2E
PUTTING NATURAL VARIATION INTO USE
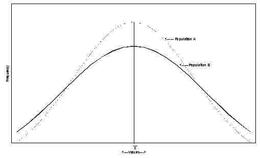
As earlier stated, the statistics of Normal Distribution is quite useful in describing natural variation in tree characters. In Figure 3, two population distributions are described. population B is more variable although it has the same population mean as in A.
The Normal Distribution curve is also useful in describing how the natural variation in trees is put into use. Figure 4 indicates the Selection Differential, S. of the selected sub-population.
Fig. 3 Comparison of Two Different Population Distributions with the Same Population Mean

Fig. 4 Selection Differential Between the Means of the Population and the Selection Subpopulation

The averages or means of the selection subpopulation and the general population are based on phenotypic measurements. If considerable extent of the phenotypic differences are attributed to the inherent genotypic constitution, then there is plenty of room for tree improvement to contribute to the increase in performance of the next generation.
DIGGING OUT RECORDS
Old files of PTFI plantations were reviewed to trace the records of earliest seedlot acquisitions. The records were reconstructed and now they form part of the important documentation of the Company. Table 1 presents the Acacia mangium seedlot acquisition of PTFI-SMH, in Mindoro from as early as 1982 through 1987. The table shows considerable number of various acquisitions in a span of six years. The various provenances could provide genetic base wide enough for a starting program in tree improvement.
Table 1. Summary of Acacia mangium Seeds Records and Acquisition by PTFI-SMH in Mindoro.
YEAR |
NO. OF SEEDLOTS OR PROVENANCE |
|
1982 |
87 |
1983 |
15 |
1984 |
2 |
1985 |
66 |
1986 |
45 |
1987 |
8 |
TOTAL |
223 |
Meanwhile, at PTFI-Talacogon, the plantation journal was reviewed to trace out the provenances used in the early plantings. Table 2 presents the provenances used in plantation from 1983 to 1988. Planting made in 1989 and onwards originated from seeds collected from the earlier plantations in Mindoro and finally from Talacogon.
Table 2. Provenances and Seedlots of Acacia mangium used in PTFI-Talacogon Plantation
|
n |
YEAR |
PLANTATION STAND NOS. |
PROVENANCE |
SMH REGISTRATION/SEEDLOT NO. |
|
1 |
1983 |
54 |
PNG, Oriomo River |
PH1P51830004 |
2 |
1984 |
1, 3 |
Australia, Olive River |
PH1H518200165 |
3 |
35 |
Australia, Olive River |
PH1H518200168 | |
4 |
1985 |
9 |
Australia, Olive River |
PH1H518500165 |
5 |
10, 11 |
Australia, Olive River |
PH1H518500170 | |
6 |
12 |
PNG, Oriomo, River |
PH1H518500150 | |
7 |
1986 |
61, 62, 64 |
Australia, Olive River |
PH1H518500002 |
8 |
1987 |
5, 66, 67, 68 |
Australia, Syndicate Road |
PH1H518200052 |
9 |
1988 |
7, 8, 32, 45, 69, 70 |
Australia, Rex Range, Mossman |
PH1H518600018 |
10 |
72, 76 |
PNG, Oriomo River |
PH1H518600050 |
For Gmelina arborea, the journal only indicated the sources of the land races as having emanated from Nasipit, Agusan del Norte, from the local sources in the vicinity, and from Canlubang, Laguna. Similarly for Paraserianthes falcataria, seeds came from local sources, Nasipit, Mindoro and PICOP area.
Permanent growth plots were established on various locations to represent topridge, sideridge, bottom ridge and flat valley or glen. Periodically, the growth plots were measured to record the increments. In 1992-93, data were fitted to a growth model using second degree polynomial which yielded satisfactory results and coefficients of determination. The resultant equations were used for growth predictions.
In 1993-94, a ten- percent inventory was undertaken on all 3 years and older plantations. Applying the growth prediction equations, yields were predicted on a per-diameter class basis and on a ten year rotation. With data on stocking density per DBH class, yields were projected on a per plantation block and stand basis, and the best stands identified.
Apparent in Table 2 is that there are at least ten provenances of Mangium used in the early plantations in Talacogon from 1982 to 1988. Succeeding plantations after 1988 were developed using seeds collected from the early plantations in Mindoro and finally from the Talacogon mature trees in 1991 onwards. To provide additional opportunity for maintaining a wider genetic base, more seedlot acquisitions were made in collaboration with ACIAR. Table 3 presents the additional germplasm acquisitions from ACIAR in 1996. Seedlings were potted in November 1997, and finally outplanted in a provenance trial experiment in September 1998.
Table 3. Provenances of Acacia Species Acquired Through ACIAR
|
SPECIES |
TOTAL NO. OF SEEDLOTS |
NO. OF SDLGS. POTTED |
DATE |
|
Acacia aulalocarpa |
9 |
1748 |
11/7/97 |
|
Acacia auriculiformis |
14 |
1931 |
11/7/97 |
|
Acacia mangium |
13 |
1690 |
11/7/97 |
|
TOTALS |
36 |
5368 |
For Gmelina arborea, in order to improve the land race acquisitions, germplasm explorations and collections were made in Mindoro covering the areas of Medina, Malaybalay, Kidapawan, PICOP, and again, Nasipit. Seeds, whenever available, and vegetative cuttings from top crown of selected trees were collected and brought to Talacogon as additional germplasm collections.
GROWTH AND YIELD
On the basis of the results of the 10% inventory and with the applications of the growth prediction equations, the best stands were identified in terms of volume yield, stocking density, DBH, merchantable height and total height. Fortunately, no major pest and disease were noted in all stands at the time of evaluation.
DESIGNATING STANDS AS SPA
Four stands were tagged as the SPA for Mangium and Gmelina, namely stands 5, 9, 11, and 12 but there are other smaller areas that served as seed sources at one time or another, namely, stands 41, 47, 62 and 53. Lately, Stand No. 12 was charted with 100% of the trees projected on the map. The initial intention is to rogue the stand and leave only trees of average and better evaluation points including all labeled CPTs.
The best stands were scouted and combed for the best individual trees. Candidate Plus Trees (CPT) were selected based on certain selection criteria that included the following characteristics:
1. DBH
2. Height (Merchantable,
Total)
3. Bole Features (Straightness, Cylindricity,
Taper, Sweep, Hook, Twist & Lean
4. Branch
Characteristics (Angle, Size, length)
5. Pest/Disease
Resistance
Another class of CPT was included in the selection, i.e. those with exceptionally vigorous growth in terms of diameter and height irrespective of the size and frequency of the branches.
Points were assigned to each of the above features in comparison with the best surround or check trees. Minimum set point was assigned as the limit acceptance.
Table 4. presents the number of CPT's resulting from the phenotypic selection process:
Table 4. Distribution of CPT's from Selected Stands at IFMA No. 011
|
STAND NO. |
SPECIES |
NO. OF CPTS |
|
3 |
Gmelina arborea |
34 |
|
5 |
Gmelina arborea Acacia mangium |
25 60 |
|
9 |
Gmelina arborea |
11 |
|
11 |
Acacia mangium |
33 |
|
12 |
Acacia mangium |
50 |
|
41 |
Acacia auriculiformis Acacia crassicarpa |
20 14 |
|
62 |
Acacia crassicarpa |
16 |
|
TOTAL |
263 | |
The 263 CPT's are the only ones now left out of the initial selection of a total of 999 trees for the named species in Table 4. This represents only 26% remaining trees from the initial selection. Most of the Gmelina CPT's were harvested after they were cloned and propagated in the RMG (Ramet Multiplication Garden).
Collection of seeds is carried out during the period of seed-year. Table 5 presents samples of the quantities of seeds collected per tree over some years for two stands of Acacia mangium.
Seed collection is difficult as each individual tree had to be high-climbed. Improvised tree steps are fixed unto each tree during high climbing and removed on the way down. No spikes are used to prevent bark damage and infection. The collected seeds are processed and finally stored in a walk-in cold storage.
For vegetative propagules, the freshly harvested shoot tips are immediately brought to the Clonal Nursery for treatment and rooting at the misting chamber/house.
MASS PRODUCTION OF SEEDLINGS FROM SEEDS
Standard germination techniques using hot water treatment are used for the seeds of Acacias or similar seeds. All subsequent nurserying works are carried out at the Central Nursery. It takes some three months for the seedlings to become fully hardened and meet the outplanting in the field.
Table 5. Seed Yield Per Tree Over Three Different Years of Collection for Two Stands of Acacia mangium at IFMA No. 011
|
Stand No. |
CPT No. |
Seed Type |
Prove-nance |
92 collection wt. (g) |
93 collection wt. (g) |
98 collection wt. (g) |
|
11 |
4 |
A |
OLIVE |
650 |
800 |
280 |
|
11 |
7 |
A |
OLIVE |
200 |
50 |
457 |
|
11 |
18 |
A |
OLIVE |
250 |
340 |
513 |
|
11 |
30 |
A |
OLIVE |
250 |
50 |
245 |
|
11 |
33 |
A |
OLIVE |
345 |
550 |
117 |
|
11 |
44 |
A |
OLIVE |
395 |
170 |
463 |
|
11 |
46 |
A |
OLIVE |
200 |
1680 |
783 |
|
11 |
48 |
A |
OLIVE |
100 |
280 |
602 |
|
11 |
53 |
A |
OLIVE |
295 |
810 |
215 |
|
2 s cv |
298.3 157.5 52.8% |
581.1 488.6 84.1% |
408.3 212.0 51.9% | |||
|
12 |
4 |
A |
OLV/PNG |
540 |
645 |
1560 |
|
12 |
5 |
A |
PNG |
325 |
1175 |
876 |
|
12 |
13 |
A |
PNG |
350 |
470 |
289 |
|
12 |
23 |
A |
OLV/PNG |
100 |
820 |
965 |
|
12 |
30 |
A |
OLV |
380 |
380 |
1310 |
|
12 |
34 |
A |
OLV/PNG |
50 |
200 |
478 |
|
12 |
36 |
A |
OLV/PNG |
225 |
705 |
139 |
|
12 |
40 |
A |
OLIVE |
600 |
345 |
1245 |
|
12 |
43 |
A |
OLIVE |
340 |
340 |
641 |
|
2 s cv |
323.3 180.9 56.0% |
564.4 303.8 53.8% |
833.7 485.5 58.2% | |||
Two critical steps in seedling production are record tracking and keeping. Seeds from any five CPTs, but generally less than ten trees, are grown for each batch of seedling production. Seedlings from each CPT are tracked as to which stands and blocks they get planted. Oftentimes, in the field, the seedlings get mixed in the actual process of planting.
MASS PRODUCTION OF CLONAL SEEDLINGS BY AUTO-VEGETATIVE MEANS
The source of shoot tips for macrosomatic cloning is the RMG. Figure 5 presents one of the RMG blocks designed for PTFI. The RMG was initially established in 1993 and was continually expanded till 1996. Table 6 presents basic information on the RMG at PTFI.
Table 6. Basic Data on RMG
|
Block No. |
Date Established |
Gross Area |
Net Plantable Area (m2) |
Ortet Capacity 1/ |
Planted/Surviving Ortet |
Planting Spacing (m) |
Average Monthly Ramet Production Capacity 2/ |
|
1 |
Feb 93 |
9,226 |
7,200 |
2,133 |
2,028 |
1.5 x 1.5 |
60,840 |
|
2 |
Mar 93 |
8,165 |
5,600 |
1,309 |
1,255 |
1.5 x 2.0 |
37,650 |
|
3 |
Apr. 93 |
22,149 |
21,400 |
5,005 |
4,811 |
1.5 x 2.0 |
144,330 |
|
4 |
Jul. 93 |
16,322 |
16,000 |
3,742 |
1,934 |
1.5 x 2.0 |
58,020 |
|
Totals |
55,861 |
50,200 |
12,189 |
10,028 |
300,840 | ||
1/ - Space for
pathways accounted
2/ - Up to 3 harvests of
fresh ramets per month; each ortet or IRM (Individual Ramet Multiplier) can
produce about 10 ramets per harvest.
In preparation to harvesting shoot tips for rooting, the RMG is treated for rejuvenation at least one month prior to the scheduled harvest. Shoot tips are then treated and transferred to the missing house. From harvesting or fresh-cutting until the shoot tips are auto-vegetatively grown and hardened ready for outplanting, it takes only 45 days compared to the 90 days from seeds.
CLONAL SEED ORCHARD
The oldest Mangium SPA at PTFI is located at Stand No. 12, Block No. 078505. Established in 1985, this SPA is now 15 years old and 3 months as of this writing. In other SPAs, like stand 9 and 11, only the CPTs are the only ones now left standing, the area being fully regenerated for the 2nd cycle of rotation. Pretty soon the SPA stands will be harvested until finally all SPA at PTFI are gone.
Since the CPTs have not yet been genetically tested, and since concurrently there is a need to have an assured source of seed supply, a Clonal Seed Orchard was planned to be established to immediately replace the SPA and to have better control of seed production. This plan is still party on the drawing board. A site of about five hectares is undergoing grubbing and preparation for the purpose. Macrosomatic cloning of the selected CPTs is also on-going in conjunction with the tree breeding and hybridization work.
Figure 5. Block # 1 of RMG Established for PTFI

GENETIC TEST AND CLONAL TEST
One progeny test for Gmelina arborea was set-up in 1994. This test is regularly monitored and measured. No progeny test has been established as yet on Mangium. Plans to conduct the needed genetic tests are pending.
A short cut procedure for availing existing combination of genes that perform well in the field is by clonal forestry. Two clonal tests had been established for Gmelina located at Stands #44 and #71. These tests were established in 1995 and 1994, respectively. Figure 8 presents a picture of the clonal test showing one of the best performing clones. Part of this test at Stand #71 is minimum silvicultural intervention other than the initially required weeding regimes in order for the clones under test to surpass and survive the competing weeds.
TREE BREEDING ARBORETUM
A plan to undertake controlled crosses is also under way. Figure 9 presents part of the initial layout of the distribution of the tree breeding espaliers in the Tree Breeding Arboretum. Figure 10 shows a picture of the Mangium espaliers. These espaliers are clones derived from the mature top ranking CPTs from the SPAs. Mating designs that would yield data on GCA and SCA will be decided later.
INTRASPECIFIC AND INTERSPECIFIC CROSSING
Initially, controlled crossing within species will be the priority in the breeding program. As the tree breeding work progresses, however, hybridization between species will be explored; first, within the genus Acacia, but the between genera crossing is always a challenging future option. Rapidly progressing frontier knowledge on protoplasmic fusion now available at BIOTECH in Los Ba�os is a tempting opportunity that can fast-forward the work on interspecific hybridization.
There is mounting information on the heritabilities of many tree characters. Some show high heritabilities, while some are on the lower end. In general, however, the indications are that, many tree characters are under the varying influence of the genes and that appropriately designed tree improvement work can capture these genes and put them to better work.
Figure 6. Frequency distribution of DBH of all trees at the Acacia mangium SPA at Stand #12. Age of stand at time of measurement was 14 years and 10 months

Figure 7. Fitted Normal distribution Curve of the data in Figure 6. Selection Differential is about 9.4

Figure 11 shows actual data on the DBH distribution of Acacia mangium at Stand 12 SPA of PTFI. A normal distribution curve is fitted as shown in Figure 12. The mean DBH of the selected CPTs is also indicated as X. A selection differential of about 9.4 cm. can thus be obtained.
Although growth traits, like DBH, have low heritability values, considerable gains are obtained when such traits are converted into volume units. Thus, for the current initial selection CPTs will yield trees with better DBH and thus volume than the base population of the parent tree.
PTFI has in its vision a sustainable forest plantation operation that yields wood volume with the kind of quantity and quality desired for its timber trees. In so doing, PTFI embarked on a costly program of tree improvement, the impetus of which were fueled by previous poor performance/results from its earlier plantations. So far, many provenances of fast growing trees, such as Acacia mangium and the land races of Gmelina arborea, have been acquired and is continually being acquired to serve as base population from which to draw the better performing genes and to make new combination. Provenance selections and individual tree selections within provenance have been carried out; SPAs established; and CPTs well marked. These are but parts of the initial outputs of the improvement program.
The art of cloning Gmelina has reached a level of acceptable perfection at PTFI. Commercially operational RMG and clonal nursery are well in place for mass production of clonal seedlings anytime of the year and at reasonable number and magnitude. Meanwhile, work on the macro-somatic cloning of Mangium and other Acacia species is held in abeyance pending the establishment of similar RMGs for the Acacias, but the technology has been developed and can be put to commercial operation anytime.
Seed collection from very tall individual CPTs in the SPAs is very dangerous and difficult notwithstanding the restriction imposed during seed-off years. To alleviate the situation, a Clonal Seed Orchard is in the process of establishment that will facilitate seed cropping and make seed collection a lot easier.
Controlled crossing and hybridization project is also on the way designed hopefully to create new genotypes that will further improve the performance of PTFI's plantation.
In a more general view, technological improvements in the plantation of PTFI will not only help PTFI. Definitely, these will spill-over to similar projects of the DENR and the community in the vicinity and hopefully to other areas in the country for the benefit of all.