Page précédente Table des matières Page suivante


TABLEAU 1 CPUE moyenne mensuelle (kg/nuit) des bateaux de Gisenyi.

 JFMAMJJASONDMoy.
198138,659,144,969,933,8  81,3117,983,758,917,528,8  3,357,7
198228,335,560,061,830,5144,9  12,636,439,835,129,946,149,8
198343,344,935,697,945,7  30,5  62,640,626,130,428,220,042,2
198437,924,230,238,022,2  25,2  48,552,665,970,042,833,140,9
198542,755,355,938,040,0  39,9  39,032,046,150,221,732,141,1
198631,817,027,230,335,4  33,8  47,746,121,223,821,219,629,4
198722,549,050,223,549,1  44,5  27,418,235,236,929,220,232,0
198817,832,426,422,117,7  24,6  22,621,327,530,523,427,024,4
198929,923,034,941,240,3  36,7  48,860,053,761,351,279,346,7
199078,859,260,878,0        69,2
Moy.32,537,840,647,034,7  51,3  51,843,441,639,530,734,4 

(1) Les moyennes mensuelles ne tiennent pas compte des données de 1990

(2) Données non fiables en raison du petit nombre de points. Elles n'ont pas été considérées dans le calcul de la moyenne annuelle

TABLEAU 2 CPUE moyenne mensuelle (kg/nuit) des bateaux de Kibuye.

 JFMAMJJASONDMoy.
198233,537,632,358,562,940,042,641,536,031,133,548,641,5
198375,055,1n.d.47,960,542,856,536,231,434,536,231,546,1
198436,136,955,221,113,120,072,453,543,151,321,760,440,4
198567,993,364,262,651,868,462,130,624,737,822,038,550,3
198645,333,028,847,352,536,622,424,213,116,518,326,030,3
198725,556,385,654,750,536,220,114,043,275,537,738,944,9
198829,832,039,338,934,620,721,0  9,820,930,120,417,026,2
198929,333,823,218,815,026,629,737,634,534,545,258,033,2
199076,866,361,862,7        66,9
Moy.42,844,846,943,738,736,440,931,030,838,929,439,9 

(1) Les moyennes mensuelles ne tiennent pas compte de données de 1990

n.d. Données non disponibles

TABLEAU 3 CPUE moyenne mensuelle (kg/nuit) des bateaux de Cyangugu.

 JFMAMJJASONDMoy.
198515,433,233,029,522,217,715,612,816,015,722,722,921,4
198642,138,434,129,419,920,714,318,814,526,522,022,825,2
198739,231,535,448,845,547,815,324,822,528,335,335,534,1
198822,545,528,616,814,916,945,026,134,534,862,837,032,1
198949,427,522,334,8**42,8*26,4*** 
1990****         
Moy.29,837,232,831,125,625,822,620,621,926,335,729,6 

(1) Les moyennes mensuelles ne tiennent pas compte de données de 1990

* Très peu de données, impossibilité d'obtenir d'estimations fiables

TABLEAU 4 Précipitations moyennes (mm) sur le bassin du lac Kivu basées sur les données de huit stations

 JFMAMJJASONDTotal
1980102175  931251773814  251361681771371367
1981125  971831561593032110  96180112  891369
1982163  7813318910144  5  331541612261261413
1983112  97196173  572921  58  791991571201298
1984152119133139  240*29  50  751471721271167
1985  94128143285  954216  141391231651191363
198615114311721110367  1  13  69215125  961311
19871211291842091753224  27158148318  981623
198813418422124811020581371701231771291711
1989113122124  68  755826  68  941961361691549
Moy.1281271531801084023  541171661771211394

* Il est impossible de savoir s'il n'y a pas eu de pluie ou si les données n'ont pas été transmises. Il semble cependant improbable qu'aucune station n'ait enregistré de pluie, pour cette raison cette valeur n'a pas été prise en compte.

TABLEAU 5 Précipitations moyennes à Gisenyi, Kibuye et Cyangugu. Les valeurs entre parenthèses indiquent le pourcentage de la précipitation totale.

 GisenyiKibuyeCyangugu
Jan  81(6,6)115(10,4)190(10,6)
Fév  84(6,9)121(10,9)195(10,9)
Mars126(10,3)  126(11,4)233(13,0)
Avr164(13,5)  154(13,9)209(11,7)
Mai106(8,7)  80  (7,2)137  (7,6)
Juin  41(3,4)  42  (3,8)  24  (1,3)
Juil  30(2,5)  11  (1,0)    9  (0,5)
Août  69(5,7)  44  (4,0)  44  (2,5)
Sept112(9,2)  82  (7,4)144  (8,0)
Oct124(10,2)  114(10,3)216(12,0)
Nov198(16,3)  133(12,0)212(11,8)
Déc  83(6,8)  88  (7,9)180(10,0)
Total1218   1110   1793   

TABLEAU 6 Paramètres de croissance du Limnothrissa miodon du lac Kivu.

L∞  K           Source
1450,1Spliethoff et al., (1983)
1050,194Kaningini (1990) (1)
1060,188Kaningini (1990) (2)
1380,110Mannini, com. pers. (3)

Notes: (1) méthode de Ford-Walford;
(2) méthode de Gulland et Holt;
(3) données préliminaires basées sur l'échantillonnage de bateaux de Gisenyi.

TABLEAU 7 Croissance du Limnothrissa miodon du lac Kivu. Données de (a) SPLIETHOFF et al. (1983), (b) KANINGINI (1990) et (c) MANNINI (com. pers.)

Age
(mois)
Taille (mm)
(a)(b)
(1)
(c)
(2)
  2 26 34 27
  4 48 57 49
  6 65 72 66
  8 80 83 81
10 91 90 92
12101 96101
14109 98108
16116101114
18121102119
20125103123
22129104126
24132104128

Notes: (1) Méthode de Ford-Walford. Pas de différences significatives entre les résultats obtenus par cette méthode et ceux obtenus par la méthode de Gulland et Holt.
(2) Résultats préliminaires de l'analyse des échantillons de Gisenyi.

TABLEAU 8 Probabilité de sélection des Limnothrissa miodon par l'engin de pêche. Données préliminaires basées sur l'analyse des captures des bateaux de Gisenyi, les classes de taille sont des de 5 mm (MANNINI com. pers.)

Taille
(mm)
Age estimé
(mois)
Probabilité de sélection
32,52,40,0000
37,52,90,0001
42,53,40,0004
47,53,80,0013
52,54,40,0036
57,54,90,0057
62,55,50,0120
67,56,10,0222
72,56,80,0260
77,57,50,0292
82,58,30,0333
87,59,10,0695
92,510,1  0,3510
97,511,2  1,0000
102,5  12,3  1,0000
107,5  13,7  1,0000
112,5  15,3  1,0000
117,5  17,3  1,0000

25% de sélection :   91,56 mm (  9,9 mois)
50% de sélection :   99,37 mm (11,6 mois)
75% de sélection : 107,19 mm (13,6 mois)

Figure 1

Fig.2. The relationships between physico-chemical factors and the abundance of plankton and sardines in the eastern basin of Lake Kariba during 1979: (a) flow of the Sanyati + Naodza Rivers; (b) water temperature at the surface and at 40 m depth; (c) the dissolved oxygen in water from the surface and 40 m depth; (d) phytoplankton abundance; (e) zooplankton abundance; (f) the monthly sardine catch, the broken lines indicate the growth of fish (in mm) spawned in September, December and February. The stippled column denotes the time of turnover.

FIGURE 1 Relation entre l'abondance de Limnothrissa miodon et les paramètres limnologiques au lac Kariba (Zimbabwe-Zambie), d'après MARSHALL (1988a).

Figure 2

FIGURE 2 Relation entre la CPUE moyenne et l'effort de pêche de la pêcherie de Limnothrissa miodon du lac Kivu, 1989–1990. Le point de l'année 1990 correspond à la moyenne de janvier à avril seulement.

Figure 3

FIGURE 3 Profils de température, oxygène et conductivité du lac Kivu, d'après DAMAS (1937) cité par BEADLE (1981).

Figure 4

FIGURE 4 Cycle saisonnier de l'épilimnion du lac Kivu (a) températures à 1, 20 et 50 m, (b) limite inférieure des eaux oxygénées, (c) transparence de l'eau, (d) abondance du zooplancton, reproduit de VERBEKE (1957).

Figure 5

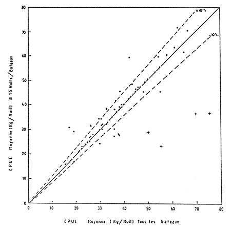
FIGURE 5 Relation entre la CPUE moyenne mensuelle des bateaux ayant travaillé plus de 15 nuits et celle de l'ensemble de bateaux. Le trait plein indique l'égalité et le pointillé ± 10%. (+) Cyangugu 1987–1988 (de nombreux de points au delà de la limite de l'axe des X ont été omis pour Cyangugu).

Figure 6

FIGURE 6 CPUE moyenne des bateaux de Gisenyi () et précipitations moyennes annuelles (o), 1980–1990. La CPUE de 1990 et basée sur les mois de janvier à avril.

Figure 7

FIGURE 7 Relation entre les précipitations annuelles moyennes et la CPUE moyenne des bateaux de Gisenyi (a) la même année, (b) après un an, (d) deux ans après.

Figure 8

FIGURE 8 Relation entre les précipitations annuelles moyennes et la CPUE moyenne des bateaux de Kibuye (a) la même année, (b) après un an, (d) deux ans après.

Figure 9

FIGURE 9 Relation entre les précipitations annuelles moyennes et la CPUE moyenne des bateaux de Cyangugu (a) la même année, (b) après un an, (d) deux ans après.

Figure 10

FIGURE 10 CPUE moyenne à (a) Gisenyi, (b) Kibuye et (c) Cyangugu, 1981–1989. Les lignes horizontales indiquent la CPUE annuelle moyenne dans chaque localité, la zone ombrée correspond aux périodes où la CPUE était au dessus de la moyenne annuelle. Les données ont été lissées en utilisant une moyenne dynamique sur deux mois.

Figure 11

FIGURE 11 Schéma de variation saisonniere de la CPUE moyenne à (a) Gisenyi, (b) Kibuye et (c) Cyangugu. les hachures indiquent les mois pendant lesquels la CPUE est supérieure à la moyenne annuelle, le symbole “.” indique le mois où la CPUE est maximum, “n.d.” indique une insuffisance de données.

Figure 12

FIGURE 12 Schéma de variation saisonnière de la CPUE au lac Kariba. Les symboles sont les mêmes que ceux de la figure 11. Reproduit de MARSHALL (1988a).

Figure 13

FIGURE 13 Captures mensuelles moyennes pour toutes les années disponibles a (a) Gisenyi, (b) Kibuye et (c) Cyangugu. Les données sont exprimées sous forme de proportion de la plus forte capture (à laquelle on a attribué la valeur 1) et lissées sur deux mois. La même année a été répétée pour bien mettre en évidence le pic à Cyangugu atteint de septembre à mars. les chiffres indiquent (1) les captures les plus basses (2 et 3) les pics à Cyangugu et Gisenyi.

Figure 14

FIGURE 14 Relation entre la CPUE moyenne et l'abondance de plancton en février 1986, septembre 1986 et mars 1987. La CPUE des bateaux de Gisenyi est présentée en fonction de l'abondance de plancton dans le bassin nord, les CPUE de Kibuye et Cyangugu en fonction de celle du bassin sud. Les données sur le plancton sont extraites de REUSENS (1987).

Figure 15

FIGURE 15 Relation entre la proportion des femelles de L. miodon mûres et en reproduction, exprimées en pourcentage de stades III, IV et V (trait fin) et la CPUE moyenne (a) 12, (b) 15 et (c) 18 mois plus tard (trait épais). Les données de reproduction vont de mars 1985 à janvier 1987 et ont été lissée sur deux mois. La CPUE correspond aux bateaux de Gisenyi et les données de maturité sont extraites de REUSENS (1987).


Page précédente Début de page Page suivante