92. Dans ce chapitre, les problèmes généraux d'évaluation de la pollution marine sont exposés (5.1). Quelques méthodes spécifiques à l'aquaculture pour l'évaluation de la pollution sont ensuite présentées (5.2). Enfin, le rôle et les fonctions de l'évaluation de l'impact sur l'environnement (EIE) sont décrits (5.3).
5.1 Considérations générales sur l'évaluation de la pollution marine
93. Dans le contexte du développement de l'aquaculture côtière et de l'environnement, il paraît important de définir les concepts liés à l'évaluation et à la prévention de la pollution marine.
Pollution marine
94. GESAMP donne la définition suivante de la pollution marine (GESAMP, 1991b):
“On entend par pollution marine l'introduction par l'homme, directement ou indirectement, de substances ou d'énergie dans l'environnement marin (y compris les estuaires) qui entraîne de sérieux effets délétères sur les ressources vivantes, des risques pour la santé humaine, des obstacles aux activités marines, y compris la pêche, l'altération de la qualité de l'eau de mer et compromet les structures de loisirs et de service”.
5.1.1 Capacités de l'environnement
95. GESAMP appuie également le concept de capacité de l'environnement (GESAMP, 1986; Pravdic, 1987). La capacité de l'environnement (ou capacité de réception, d'absorption ou d'assimilation) est définie comme une propriété de l'environnement. C'est une mesure de son pouvoir d'accueillir une activité particulière ou un taux d'activité particulier comme le rejet de produits contaminants, sans impact inacceptable: c'est “le pouvoir d'un système ou écosystème récepteur de faire face à certaines concentrations ou niveaux de déchets sans subir d'effets délétères significatifs” (Cairns, 1977, 1989).
96. Cette définition de la pollution marine et le concept de capacité de l'environnement sont tous deux caractérisés par la distinction faite entre la “contamination” - c'est-à-dire la présence croissante de substances dans l'environnement due aux activités humaines mais sans effet négatif significatif - et la “pollution” c'est-à-dire la présence d'effets négatifs. La distinction entre ces deux termes est importante car elle indique que les changements de l'environnement dus aux activités humaines peuvent être considérés comme ayant ou non des effets négatifs. Pour établir la limite entre ces deux régimes, il faut définir “l'acceptabilité”. Indépendamment du tracé de cette limite, le concept de changement acceptable reste valable.
97. La capacité de l'environnement offre une bonne base de stratégie interactive de gestion de l'environnement. D'autres stratégies complexes traditionnelles, basées sur des objectifs de qualité de l'environnement ou bien des stratégies simples mais facilement applicables - comme celles qui sont fondées sur des normes uniformes d'émission, sur les concentrations maximales autorisées dans les effluents, sur les listes noires/grises/blanches ou sur l'application du principe des “meilleurs moyens praticables disponibles”- sont considérées comme de simples composantes de cette stratégie adaptable et interactive. L'annexe 3 traite brièvement de ces stratégies traditionnelles.
98. L'évaluation de la capacité de l'environnement est une opération scientifique qui requiert des apports techniques et socio-économiques, entendus comme composantes parallèles, interactives et complémentaires des choix qui interviennent dans la planification intégrée et compatible avec l'environnement du développement. Les apports techniques sont objectifs et indépendants et influent sur les décisions concernant la faisabilité socio- économique. En outre, l'acceptabilité de l'impact sur l'environnement repose sur bien plus que des considérations politiques. Elle peut être déterminée scientifiquement, en supposant que la capacité de l'environnement puisse être quantifiée. L'approche “capacité de l'environnement” vise à définir la charge critique et, en phase d'application pratique, à maintenir, si possible, tout intrant en dessous de ce seuil. Lorsque la capacité de l'environnement pour une substance donnée est déterminée, elle peut être répartie entre différents usages d'une ressource et différents besoins.
99. La méthodologie d'évaluation de la capacité de l'environnement, qui est spécifique pour chaque site et chaque produit contaminant, utilise “l'analyse critique des parcours” pour les substances contaminantes qu'elles se décomposent ou non et établit des objectifs, des critères et des normes sauvegardant la qualité de l'environnement. Compte tenu des incertitudes inévitables dans les situations réelles, une approche probabiliste est suivie au lieu d'une analyse déterministe. L'approche proposée est l'analyse décisionnelle. La méthodologie recommandée (GESAMP, 1986) comprend trois étapes (voir figure 8). Les finalités socio-économiques (priorités et objectifs) sont évaluées durant l'étape de planification, compte tenu des utilisations présentes et futures des ressources. Dans l'étape d'analyse scientifique préliminaire, la capacité de l'environnement est individualisée et quantifiée, ce qui conduit à l'établissement “d'intrants” admissibles. Enfin, le suivi permet de contrôler en continu si la capacité de l'environnement est bien exploitée ou si elle est sous- ou surexploitée. On sait alors qu'il est nécessaire d'adopter des mesures correctives.
100. Dans ce contexte, la science a pour rôle d'évaluer et de prédire les changements de l'environnement provoqués par l'homme. Les questions et disciplines scientifiques clefs peuvent être regroupées en 2 catégories:
a) les sources, transports, transformations, et le sort des substances introduites dans l'environnement marin
Dans cette catégorie, la répartition des substances est mise en rapport avec leurs sources, et on a recours aux sciences physiques, chimiques et biologiques, notamment à l'océanographie physique et chimique. Les lecteurs s'intéressant aux méthodes actuelles de création de modèles côtiers en liaison avec le transport, la dispersion et la destination des substances contaminantes déposées dans l'environnement côtier sont invités à consulter l'étude GESAMP (1991 a).
b) les effets de ces substances sur les organismes, y compris l'homme, et les ressources et les structures de loisirs et de services dans l'environnement marin
Cette seconde catégorie comporte l'établissement des effets des expositions sur les organismes, l'homme et les structures de loisirs et de services, qui sont couverts surtout par des études des effets toxicologiques et biologiques.

Figure 8 - Méthodologie pour l'évaluation de l'impact de produits polluants sur l'environnement marin (GESAMP,1986).
Paramètres
101. Toute évaluation d'une substance chimique potentiellement dangereuse doit prendre en considération deux types de facteurs, les premiers intrinsèques à la substance, les seconds liés aux conditions extérieures et à leurs interactions réciproques. Les paramètres scientifiques nécessaires sont fondamentalement les suivants:
| Quantité: | production, utilisations, types de décharge, charge, sources |
| Distribution: | caractéristiques physico-chimiques, affinité pour les compartiments de l'environnement |
| Persistance: | cinétique de l'hydrolyse, photolyse, biodégradation |
| Bioaccumulation: | coefficient de séparation dans n-octanol/eau, parcours métaboliques dans différents organismes. |
| Toxicité: | mesures de l'activité biologique de la substance (si possible, de la cellule à l'écosystème) |
| Typologies des écosystèmes: | caractéristiques et structures biotiques et abiotiques et fonctions des écosystèmes |
| Echelle (temps) des événements | |
Prédiction des impacts
102. En ce qui concerne l'approche de la capacité de l'environnement, l'évaluation des risques (Landner, 1989, 1988; Bro-Rasmussen et Chritiansen, 1984) est un instrument scientifique-clef qui permet de prédire les effets négatifs potentiels de la décharge de polluants sur la base de leurs propriétés inhérentes et de la probabilité d'exposition à ces substances qui détermine les dommages causés aux organismes. En d'autres termes, l'évaluation des risques est basée sur la relation existant entre la concentration prévue dans le mileu des substances chimiques auxquelles les organismes sont potentiellement exposés et les propriétés toxicologiques de ces substances, par exemple, les concentrations à effets biologiques négatifs prédites (Cairns et al., 1978). La prédiction commence par la détermination des données sur l'exposition (apport de substances chimiques, à propriétés de ces dernières et environnement). La persistance et la distribution des substances sont évaluées sur la base des caractéristiques physico-chimiques, du comportement biogéochimique, de la biodégradabilité, de la bioaccumulation potentielle et de la disponibilité biologique. Les effets biologiques sont prédits d'après des études de toxicité aiguë et chronique ou sont calculés sur la base des rapports quantitatifs d'activité structurelle (Konemann, 1981; Halfon, 1989; Boudou et Ribeyre, 1989; Llyod, 1991 a, 1991b).
103. En résumé, l'évaluation des risques devrait fournir des prédictions claires sur 1) les parcours et taux de transport, 2) les compartiments probables de l'environnement (eau, sédiment et/ou biotope) où les substances/matériaux risquent de s'accumuler et 3) les effets probables d'une substance sur un site donné, un organisme ou une série d'organismes donnés. Toutefois, les prédictions devraient porter non seulement sur les concentrations chimiques mais également sur les effets biologiques acceptables. Les limites des changements dans les réponses au stress d'une espèce donnée et/ou d'une communauté devraient être clairement indiquées. Des mesures régulatrices pourraient alors être adoptées en se basant sur la comparaison entre les concentrations prévues dans le milieu (dans l'eau, les sédiments et les organismes) et les informations sur les concentrations les plus basses auxquelles des effets biologiques négatifs peuvent être attendus.
5.1.2 Suivi
104. Grâce au suivi, les experts peuvent donner aux utilisateurs des ressources côtières et aux administrateurs chargés de la gestion de l'environnement des informations sur:
a) l'amélioration ou la détérioration du milieu;
b) l'impact ou l'absence d'impact sur l'environnement d'une activité d'aménagement envisagée (que ce soit pour le développement des pêches et du secteur aquacole ou non);
c) l'observation des règlements de la part des opérateurs individuels ou leur non observation.
105. La préparation d'un programme de suivi devrait se fonder sur des objectifs clairement définis et sur la formulation d'hypothèses contrôlables. Le suivi est essentiel pour vérifier les prédictions de l'impact dans toute évaluation de risques. Il faut reconnaître également que, dans de nombreux cas, pour être efficace et utilisable, le suivi doit se faire sur une longue période. Etant donné que le suivi peut être très coûteux, il ne faudrait récolter que certaines données:
a) celles qui sont requises pour atteindre les objectifs;
b) celles se prêtant à une interprétation significative;
c) celle qui sont précises et exactes.
106. Autrement, les ressources techniques et financières sont gaspillées et, dans le cas d'un suivi de contrôle du respect des règlements, la production de données de qualité douteuse limite leur valeur juridique.
107. Plus précisément, un suivi écologique adéquat demande:
a) la mesure (i) des niveaux des produits contaminants, (ii) de l'ampleur des modifications physique et/ou (iii) des effets connexes sur l'environnement;
b) la mesure du taux d'apport de produits contaminants ou de la fréquence et la dynamique des modifications physiques;
c) la mesure des effets sur un (des) objectif(s) identifié(s) exposé(s) aux changements du milieu.
108. Les programmes de suivi devraient inclure aussi bien les aspects physico-chimiques que biologiques de façon à ce que, quand cela est possible, les réponses biologiques puissent être liées à des doses chimiques et/ou des modifications physiques spécifiques.
109. Le succès dépend de la mise en oeuvre d'un programme sérieux d'assurance de la qualité. Un tel programme a deux composants de base. Le premier est le contrôle de la qualité; il consiste à s'assurer que l'échantillon et les techniques d'analyses sont adaptés aux buts recherchés, ce qui permet de décider si un programme de suivi peut détecter les changements prévus ou retenus comme hypothèse. Le second est l'évaluation de la qualité, qui permet de maintenir en permanence la qualité des données au niveau désiré; il se fait grâce à l'utilisation de procédures normalisées, de matériel de référence standard et de comparaisons entre laboratoires.
110. Le suivi biologique peut permettre de mesurer l'effet direct de la mauvaise qualité de l'eau et des sédiments sur les organismes en évaluant jusqu'à quel point une réponse biologique spécifique dévie d'une valeur normale. Les effets sur les organismes peuvent être mesurés par la réduction du taux de croissance, la sensibilité aux maladies ou la mortalité des stades sensibles. Les mesures des changements de structure des communautés peuvent être facilement assimilées aux dommages causés, particulièrement si les effectifs d'espèces à valeur commerciale ou des espèces protégées ont diminué. Un suivi biologique devrait toujours être associé à un suivi chimique afin de pouvoir établir dans quelle proportion les effets mesurés peuvent être imputés aux produits chimiques. Cela est vrai également pour le suivi des substances qui peuvent s'accumuler dans les tissus des organismes, particulièrement de ceux qui sont récoltés pour la consommation humaine. L'objectif principal est l'évaluation des concentrations constatées par rapport à la prise journalière acceptable. Mais les données devraient également fournir des informations sur la nocivité potentielle de ces concentrations sur les organismes eux- mêmes. Actuellement, de nombreux rapports concentration-effet, établis pour des organismes, sont fondés sur la quantité de produits-chimiques dans l'eau et non sur la quantité accumulée dans les tissus.
111. La surveillance diffère du suivi: les prédictions ne sont pas testées, mais les sites ou les organismes sont surveillés pour s'assurer de l'existence ou de l'absence de différences détectables entre le site surveillé et le site témoin.
112. Cependant, le rassemblement systématique d'informations de première main, par les pêcheurs et éleveurs, sur une pollution apparente ou toute autre dégradation visible du milieu peut - dans certains cas - se montrer très utile à différentes fins:
- système de détection/alerte rapide (par exemple, déversement de pétrole, bloom de phytoplancton)
- démarcation préliminaire des zones exposées à la pollution (par exemple, changement des modèles de distribution/expansion de la contamination)
- chronologie des événements (fréquence, durée, période de l'année, etc.)
113. Ces activités qui pourraient être dénommées “observation régulière” de l'environnement pourraient éventuellement appuyer des programmes de surveillance et/ou de suivi écologiques.
5.2 Méthodes sélectionnées de la pollution spécifique à l'aquaculture
114. Durant l'évaluation des changements du milieu provoqués par l'aquaculture, il est important de faire une distinction entre:
a) charge en déchets et consommation (par exemple, d'oxygène, de particules, de phytoplancton) des élevages ou des organismes;
b) effets écologiques correspondants.
115. Par exemple, les solides en suspension produits par une ferme aquacole n'ont pas toujours des effets identiques sur l'écologie du site et malheureusement, la distinction n'est pas souvent faite.
116. Certaines méthodes d'évaluation de la pollution spécifique à l'aquaculture sont décrites ci—dessous. ll faut souligner que les méthodes d'impact sur l'environnement s'améliorent sans cesse (voir Silvert, sous presse).
5.2.1 Estimation de la production de déchets
117. Jusqu'à présent, les estimations de la production de déchets ont concerné pour la plupart des poissons carnivores des zones tempérées, notamment des salmonidés. Un graphique illustrant le sort des déchets produits par l'élevage intensif est présenté à la figure 9. ll est possible d'estimer les quantités d'aliments, non mangés, de fèces et d'excrétions produits à partir des données sur la qualité et la quantité d'aliments, le taux de conversion des aliments, la digestibilité et la composition fécale, et d'établir des équations pour différents éléments des déchets comme l'azote, le phosphore ou le carbone, les solides ou la demande biologique en oxygène (Beveridge et al.,1991).
118. On trouvera ci-dessous quelques équations générales (adaptées de lwama, 1991) qui permettent d'établir l'estimation de la masse totale des particules de matière organique provenant des aliments non mangés et des fèces.
Etant donné:
| UW | = | Pourcentage de déchets d'aliment non capturé/100 (rapport entre |
| aliment non capturé total et aliment distribué total) | ||
| F | = | Pourcentage de déchets fécaux/100 (rapport entre déchets |
| fécaux totaux et l'aliment total mangé) | ||
| FCR | = | taux de conversion de l'aliment utilisé/gain de |
| poids) | ||
| PD | = | production (augmentation de la biomasse en poissons) |
| O | = | production totale de particules de matière organique |
on obtient ainsi:
| TF | = | total aliment distibué | =PD × FCR |
| TU | = | total aliment non capturé | =TF ×UW |
| TE | = | total aliment managé | =TF-TU |
| TFW | = | total déchets fécaux | =F ×TE |
| O | = | TU + TFW |
119. Si elle est inconnue, la quantité totale d'aliments distribués (TF) peut être estimée à partir de la production (PD)et du taux de conversion (FCR). La signification des valeurs du taux de conversion (et de la teneur en eau des aliments et des poissons) pour l'estimation de la production de déchets est étudiée par Hopkins et Manci (1989). Les taux de conversion des élevages en cage apparaissent plus élevés que ceux des élevages en étang, ce qui indique peut-être une perte plus forte d'aliment (Beveridge, 1984). On a rarement tenté d'estimer directement la proportion d'aliment non mangé (UW), notamment parce qu'il est difficile de distinguer l'aliment et les fèces dans les matières solides récoltées. L'estimation des valeurs de UW peut aller de 1 à 30 pour cent et même plus. La production de déchets fécaux peut être estimée à partir d'études sur la digestibilité des différentes composantes du régime alimentaire. Les études réalisées sur la base du poids sec, concernant la digestibilité de l'alimentation totale semblent être comparables aux valeurs de F, qui varient de 25 à 30 pour cent.
120. Lorsque la teneur totale en carbone, azote et phosphore des aliments et des déchets fécaux est connue, il est possible d'estimer la présence de chacun de ces composants dans l'aliment non mangé et les déchets fécaux au moyen des équations suivantes:
| UM | = | masse de C, de N ou P provenant de I'aliment non capturé |
| UM | = | TF × UW × K |
| EM | = | masse de C, N ou P provenant de I'aliment mangé |
| EM | = | (TF - TU) × K × E |
| TM | = | masse totale de C, N ou P en provenance de I'aliment capturé et |
| non capturé | ||
| TM | = | UM + EM |
où:
| K | = | pourcentage de chaque composant dans l'aliment/100 |
| E | = | pourcentage de chaque composant dans les fèces/100 |
121. Connaissant la teneur totale d'un composant dans un poisson, la “production” de ce composant peut également être estimée: elle équivaut à la différence entre le contenu de ce composant dans l'aliment et celui retenu dans le poisson. Wallin et Hakanson (1991) donnent les équations suivantes pour estimer la charge en éléments nutritifs provenant des élevages:
L = P × (FC × Caliment - Cpoisson)
où:
| L | = | charge en azote et phosphore (n-Kg N & n-P/an) |
| P | = | production de poissons (Kg poids humide/an) |
| FC | = | coefficient d'aliment (Kg poids aliment humide/Kg de poissons |
| produits) | ||
| Caliment | = | concentration en azote et phosphore de I'aliment (en |
| pourcentage de poids humide) | ||
| Cpoisson | = | concentration en azote et phosphore du poisson (en pourcentage |
| de poids humide) |
122. Ackefors et Enell (1990) donnent une description de ces rapports qui est légèrement différente et peut-être plus détaillée:
L'équation de charge en phosphore est la suivante:
Kg P = (A × Cdp) - (B × Cfp)
L'équation de charge en azote est la suivante:
Kg N = (A × Cdn) - (B × Cfn)
où:
| A | = | poids humide des “pellets” secs utilisés par an (normal en eau |
| des “pellets” secs est de 8 à 10 pour cent) | ||
| B | = | poids humide des poissons produits par an |
| Cd | = | teneur des “pellets” en phosphore (Cdp) et azote (Cdn), exprimée |
| en pourcentage du poids humide | ||
| Cf | = | teneur des poissons en phosphore (Cfp) et azote (Cfn), exprimée |
| en pourcentage du poids humide |
123. En résumé, ces équations générales permettent d'estimer approximativement la production de déchets des fermes aquacoles (voir figures 10 et 11). Il faut noter cependant, qu'elles sont basées sur un certain nombre d'hypothèses (par exemple, calcul des pertes d'aliment) et de résultats d'études de laboratoire (par exemple, estimation de la digestibilité). II est nécessaire également de considérer d'autres aspects comme la variabilité diurne et saisonnière, les variations entre les différentes espèces, les effets de la température, la taille des individus, la santé, les taux d'alimentation, la qualité des composants de I'aliment, les effets synergiques/antagonistes d'un composant du régime alimentaire sur la digestibilité d'un autre, I'influence du traitement et des constituants non nutritionnels sur la digestibilité. De plus, les systèmes d'élevage et les facteurs de gestion influencent également sur la composition des déchets, par exemple, solides en suspension ou sédimentables et composés d'azote et de phosphore.
5.2.2 Modèles concernant l'enrichissement du benthos
124. La dispersion et la sédimentation des particules dépendent de la quantité de déchets produits, de la superficie de la ferme, de la profondeur de l'eau, de la vitesse du courant, et de la précipitation des particules. L'estimation de la charge en déchets concernant une zone potentielle peut être établie (Gowen et al., 1989) au moyen des équations suivantes (voir également figure 12):
d = D × Cv / V(1 ou 2)
où:
| d | = | distance de dispersion (distance horizontale parcourue par les |
| particules) | ||
| D | = | profondeur de l'eau |
| Cv | = | vitesse du courant |
| V | = | vitesse de précipitation des particules (aliment non mangé et |
| fèces) |
125. II est important de faire la distinction entre les particules d'aliment non mangé et celles de fèces car leur vitesse de sédimentation est différente. En pratique, existe généralement toute une gamme de tailles et de densités des déchets et donc de vitesses de sédimentation. Les particules peuvent également se diviser en morceaux plus petits. Les variations de vitesse et de direction des courants sont prises en considération dans le modèle de Gowen et al. (1989). D'autres limites sont dues à l'absence de prise en compte d'autres aspects tels que la consommation possible par les poissons sauvages d'aliments non mangés, la remise éventuelle en suspension des particules organiques sédimentées, les différences dans les caractéristiques du fond, l'effet des organismes benthiques et d'autres processus microbiologiques ou chimiques sur les particules sédimentées (Holmer, 1991; Holmer et Kristensen, 1992).

Figure 9 - Sort des déchets provenant de l'élevage piscicole intensif (Gowen et al., 1990).

Figure 10 - Charge en phosphore et azote en provenance d'un élevage en cages, exprimé en Kg par tonne de poisson produit par saison. Le coefficient d'alimentation utilisé est de 1,5 et le contenu en phosphore et azote de l'aliment est fixé respectivement à 0,9 pour cent et 7,2 pour cent du poids humide. La remise en suspension à partir des sédiments est considérée de l'ordre de 50 pour cent des particules d'azote de phosphore sédimentées (Enell et Ackefors, 1991).

Figure 11 - Bilan des flux d'azote et de phosphore dans un élevage de poissons (Wallin et Hakanson, 1991).

Figure 12 - Diagramme représentant le déplacement horizontal des déchets organiques pour faire apparaître la relation entre la profondeur de l'eau, la vitesse du courant et la vitesse de sédimentation des particules (de Gowen et al., 1989)
5.2.3 Evaluation des effets sur l'écosystème benthique
126. II existe diverses méthodes pour évaluer les changements physico-chimiques et les réponses biologiques imputables à l'enrichissement organique sur l'écosystème benthique (voir par exemple Viarengo et Canesi (1991); Frid et Mercer (1989); O'Connor et al. (1989).
Types de fond
127. La production d'effets dus à l'enrichissement organique dépend de la dynamique du fond et du renouvellement en eau, qui déterminent les types de sédiment. Hakanson et al. (1988) proposent des méthodes pour déterminer de la dynamique des fonds et suggèrent la classification suivante des fonds qui reflète l'influence de l'action des vagues et des courants existant dans les zones côtières:
a) les zones d'érosion (E) dominent là où il n'y a apparemment pas de dépôt de matériaux fins (par exemple, fonds de sable, de gravier, d'argile consolidé et/ou de rocher, dits fonds d'érosion);
b) les zones de transport (T) existent là où des matériaux fins sont déposés périodiquement (par exemple, fonds de sédiments mixtes, dits fonds de transport);
c) les zones d'accumulation (A) existent là où les matériaux fins sont déposés continuellement (par exemple, fonds mous, dits fonds d'accumulation).
128. Les fonds d'accumulation sont souvent caractéristiques des zones côtières abritées où s'établissent de nombreuses fermes. Dans les fonds de type A, où la matière organique se dépose durant de longues périodes, le manque d'oxygène a fréquemment des effets, et la faune du fond est plus affectée que sur d'autres types de sédiment. La matière organique rejetée sur les fonds de type T s'étale plus loin et l'effet, qui est probablement moins fort, touche une plus vaste superficie.
Métabolisme des sédiments
129. Durant les études préparatoires, différents paramètres doivent être mesurés comme la vitesse des courants, le taux de sédimentation au moyen des pièges à sédiments, la densité et l'épaisseur des sédiments, la dimension des particules, la chimie de la phase solide des sédiments et de l'eau absorbée (contenu en eau, en oxygène dissous, en matière organique et inorganique, les composants solubles et sous forme de particules, l'alcalinité, la potentiel redox) ainsi que la chimie de l'eau près du fond (oxygène dissous, éléments nutritifs comme ammoniaque, nitrate, phosphate et gaz comme hydrogène sulfuré et méthane).
130. Sur la base des paramètres physico-chimiques mesurés, les modèles de métabolismes des sédiments ont été analysés: il apparaît que des processus chimiques complexes sont associés à des activités microbiennes aérobies et anaérobies. On peut dire qu'un dépôt élevé et localisé de particules organiques est lié à des sédiments très actifs d'un point de vue métabolique. L'activité microbienne est stimulée et la demande d'oxygène croît, que ce soit pour les processus microbiens ou pour la réoxydation des produits à minéralisation réduite; il s'en suit un déficit en oxygène qui provoque de la part des sédiments, une production de sous-produits du métabolisme anaérobie (ammoniaque, hydrogène sulfuré et méthane). Le lecteur qui souhaiterait étudier plus longuement la question (effets et méthodologies) peut consulter Holmer (1991); Holmer et Kristensen (1992); Weston et Gowen (1988); Kupka-Hansen et al. (1991); Kaspar et al. (1988); Lumb (1989).
Effets sur la faune benthique
131. La faune benthique qui vit dans les sédiments et au-dessus peut être utilisée comme indicateur de pollution en aquaculture étant donné que le benthos est assez sédentaire.
132. Les communautés du fond peuvent être perturbées par l'enrichissement en matières organiques des sédiments à un tel point que la macrofaune disparaît complètement. On présume généralement qu'une communauté macrobenthique soumise à un accroissement de la charge organique, que ce soit dans I'espace ou le temps, présente (Weston, 1990):
a) une diminution de la richesse en espèces et un accroissement du nombre total d'individus dû à la densité élevée d'un petit nombre d'espèces opportunistes;
b) une réduction générale de la biomasse, bien qu'il puisse y avoir un accroissement de la biomasse dû à la réunion d'individus opportunistes;
c) une diminution de la taille moyenne des espèces ou des individus;
d) une diminution de l'épaisseur de la colonne de sédiment occupée par la faune;
e) un changement de dominance des chaînes trophiques
133. Différentes méthodes peuvent être utilisées pour analyser les changements de structure des communautés du fond. Par exemple, une aire peut être divisée en plusieurs zones de pollution en utilisant la biomasse et la présence/abondance des espèces “indicatrices” de pollution. On utilise souvent, des courbes “SAB” (Weston, 1991), qui font apparaître les changements du nombre d'espèces, de l'abondance et de la biomasse suivant un gradient de pollution organique (voir figure 13) . Un certain nombre d'indicateurs de diversité sont utilisés (l'indice de Shannon-Wiener, équitabilité, technique de rarefraction de Sanders). La perturbation d'un site peut être analysée grâce au recensement du nombre d'individus en classes géométriques d'abondance ou par la méthode de comparaison de l'abondance et de la biomasse (“ABC”) où la dominance cumulative (abondance et biomasse) est tracée sur une échelle logarithmique des classes d'espèces.
134. En ce qui concerne l'évaluation des effets de la pollution aquacole sur le benthos, il faut savoir que la plupart des méthodes présentent des avantages mais également des limites. Les résultats d'études sont parfois variables. II peut être difficile d'évaluer les paramètres de changements de la communauté benthique dans certains cas. En outre, les changements, lorsqu'ils se produisent ne sont pas toujours attribuables à l'enrichissement organique. Toutefois, la prévision des effets écologiques paraît possible d'une façon qualitative sur la base de données empiriques. Pour avoir d'autres renseignements sur les études du benthos, ont peut se référer à: Gray et al. (1992); Lauren-Maatta et al. (1991); Holmer (1991); Weston (1991); Brown et al. (1987).
5.2.4 Modèles concernant l'hypernutrition et l'eutrophisation
135. L'hypernutrition (enrichissement en éléments nutritifs) et l'eutrophisation (accroissement de la production primaire) des eaux côtières en raison de l'aquaculture sont des phénomènes peu probables, mais qui peuvent se produire dans des baies semi-fermées ayant un faible renouvellement d'eau avec la mer “ouverte”.

Figure 13 - Evolution de la richesse en espèces (S); la biomasse (B) et de l'abondance (A) de la macrofaune en rapport à la distance de deux sites d'élevage de saumons en cages. Les données de la figure supérieure concernent Loch Spelve (Ecosse) et sont tirées de Brown et al., (1987); celles de la figure inférieure concernent Puget Sound (nord-ouest des Etats-Unis), et sont tirées de Weston (1990), (Weston, 1991).
136. Il semble pour le moment beaucoup plus difficile d'établir des modèles pour l'hypernutrition et l'eutrophisation pour les eaux côtières que pour les eaux continentales. Les principes de base qui permettent de relier la concentration en éléments nutritifs à la croissance du phytoplancton ainsi qu'à la dilution peuvent être appliqués. Toutefois, les difficultés rencontrées pour établir des modèles concernant les réponses de l'écosystème côtier à l'enrichissement en éléments nutritifs sont généralement liées à l'influence de la stratification saline et au mélange dû à la marée, et ceci particulièrement dans les baies et les estuaires. De plus, les limites des zones affectées sont souvent difficile à définir. II faut souligner que, vu les liens complexes existant entre les processus biologiques, chimiques et physiques, ces modèles sont spécifiques à une zone donnée et que leur utilisation est donc limitée. Malgré les limites et les hypothèses nécessaires, ces modèles peuvent être utilisés pour tenter d'obtenir des projections “les plus” et “les moins” favorables.
Hypernutrition
137. L'importance de l'hypernutrition dépend de la taille de la ferme et de l'hydrographie de la zone. Le volume d'eau concerné, le taux d'échange avec la mer, le début et la durée de la stratification horizontale et les limites de son extension horizontale, tous ces facteurs ont une incidence notable sur le niveau d'hypernutrition.
138. On trouvera ci-dessous un exemple d'estimation approximative. En prenant comme hypothèse une dispersion complète des déchets azotés dans un “plan d'eau” semi-fermé, Gowen et al. (1989) propose l'approche suivante pour estimer la croissance de la concentration en azote soluble
Ec = N × F/V
où:
| Ec | = | équilibre en concentration atteint (niveau d'hypernutrition) |
| N | = | déchets solubles azotés produits journalièrement |
| F | = | temps de lavage du “plan d'eau” exprimé en jours |
| V | = | volume du “plan d'eau” |
Deux méthodes ont été utilisées pour estimer le temps de lavage F ou le taux de dilution D, où D = 1/F:
a) méthode du renouvellement par la marée
D = (Vh - Vl) / T × Vh
où (Vh - Vl) correspond au volume renouvellé à chaque marée, et:
| Vh | = | volume maximal du “plan d'eau” |
| Vl | = | volume minimal du “plan d'eau” |
| T | = | durée de la marée exprimée en jours |
139. On suppose dans ce cas que le volume moyen du “plan d'eau” est supérieur au volume de la marée, qui est à son tour supérieur au volume apporté par le cours d'eau à chaque marée. On suppose également qu'il y a un mélange complet et que I'eau qui quitte le “bassin” à marée basse ne rentre pas à marée haute; en d'autres termes, cette méthode n'est pas valable dans le cas où le renouvellement est incomplet.
b) méthode de la salinité et du débit du cours d'eau
D = R × So / V (So - S)
où:
| R | = | débit du cours d'eau |
| So | = | salinité moyenne de l'eau de mer entrant dans le “plan d'eau” |
| S | = | salinité moyenne de l'eau à la sortie |
| V | = | volume du “plan d'eau” |
140. On suppose dans ce cas une situation stable, c'est-à-dire un débit uniforme du cours d'eau. Toutefois, des mesures directes de l'ammoniaque dans le “plan d'eau” (dans ce cas, un bras de mer écossais) ainsi qu'aux abords immédiats de la ferme, ont fait apparaître une distribution spatiale de l'ammoniaque qui indiquait seulement une hypernutrition bien localisée autour de la ferme aquacole.
Eutrophisation
141. Il n'est à présent pas possible de prédire l'eutrophisation provenant de l'hypernutrition provoquée par une ferme aquacole. Les conséquences de l'hypernutrition - augmentation de la production primaire et de la biomasse spécifique en phytoplancton - sont complexes, et les relations sont encore mal comprises. Une augmentation de la production primaire peut avoir lieu sans augmentation de la biomasse spécifique, si la biomasse additionnelle est rapidement enlevée, par exemple par des animaux qui s'en nourrissent. Les mesures directes de la production primaire donnent donc probablement plus d'informations que la simple estimation de la biomasse d'algues. Cependant, l'azote supplémentaire n'est pas nécessairement utilisé par le phytoplancton. Même si les valeurs d'hypernutrition sont élevées, la croissance du phytoplancton peut être limitée par d'autres facteurs tels que la lumière disponible en eaux turbides on en eaux mélangées profondes. Les conditions hydrographiques, comme le temps de lavage d'un plan d'eau, peuvent limiter l'accumulation de biomasse de phytoplancton, par exemple, quand les cellules des algues sont éloignées de la source d'azote avant qu'une croissante significative n'ait eu lieu. Pour obtenir des informations supplémentaires sur l'estimation et la prédiction de l'hypernutrition et de l'eutrophisation potentielles liées à l'aquaculture côtière, le lecteur peut consulter Gowen et Bradbury (1987); Gowen et al. (1989); Gowen et al. (1990); Gowen et Ezzi (1992); Wallin et Hakanson (1991); Hakanson et Wallin (1991); Aure et Stigebrandt (1990); Enell et Acefors (1991); Turrel et Munro (1989).
5.2.5 Epuisement de l'oxygène
142. La probabilité d'un épuisement important de l'oxygène dépend évidemment de la taille et de l'intensité des opérations aquacoles (la demande d'oxygène aussi bien du stock en élevage que des déchets rejetés) ainsi que de la topographie/hydrographie du plan d'eau. Une évaluation approximative de la “capacité” du plan d'eau (seuil auquel la production commence à être limitée par les ressources non trophiques, voir Rosenthal et al., 1988), peut être établie en comparant la demande en oxygène du stock à la disponibilité totale et au taux d'apport. Toutefois, des modèles permettant de prévoir les effets des opérations aquacoles sur la concentration en oxygène du plan d' eau sont encore à l'étude (voir par exemple Aure et Stigebrandt, 1990).
5.2.6 Capacité de charge utile
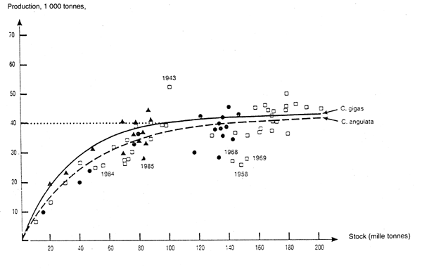
143. L'aquaculture pratiquée sur le rivage comme l'élevage des algues et des bivalves interagit avec le réseau alimentaire côtier car elle se fonde sur les disponibilités d' aliments naturels. On entend par capacité de charge utile d'une zone, définie du point de vue de l'écologie, la production potentielle maximale qu'une espèce ou une population peut assurer en utilisant uniquement les aliments naturels disponibles dans cette zone (Rosenthal et al., 1988). Ainsi, la production potentielle des bivalves en zone côtière est déterminée par la capacité de charge de cette zone. Un stockage trop important entraîne une réduction de la production, puisque la capacité de charge utile est dépassée. Cette capacité peut être estimée grâce à l'étude des données historiques sur l'élevage des bivalves (voir figure 14), à la mesure des disponibilités en biomasse de phytoplancton ou à des études plus détaillées (flux de carbone et d'azote qui passe par l'unité d'élevage des bivalves en interagissant avec le réseau alimentaire) (voir par exemple Rodhouse et al., 1985). Héral (1991) présente diverses méthodes permettant d'estimer la capacité de charge utile de zones utilisées pour l'élevage d'huîtres ou de moules.
5.2.7 Observation visuelle et télédétection de la contamination et de la dégradation
144. Il existe divers moyens de détecter et d'évaluer directement ou indirectement l'étendue de la contamination et de la dégradation par des observations visuelles ou par des techniques de télédétection.
145. L'observation directe des sédiments autour de la ferme par des plongeurs donne une première information sur, par exemple, le niveau d'envasement, le champ d'action ou les dommages causés á la flore benthique, l'absence de faune typique, la chute de mollusques, la couleur, l'épaisseur et la consistance des sédiments. Par exemple, on trouve souvent autour des fermes une couche blanche à la surface des sédiments, formée par des bactéries oxydant le soufre (Beggiatoa). La simple utilisation du disque de Secchi, à partir d'un bateau, peut donner une idée du degré et de l'ampleur de l'accroissement de la turbidité dans la colonne d'eau autour d'une ferme.
146. A une échelle supérieure, les photographies aériennes et les films video peuvent être utiles pour enregistrer l'ampleur de la contamination de l'eau et la dégradation de la surface des terres. Des techniques de télédétection plus sophistiquées, comme les photographies à infrarouges ou à multispectre, les scanners multispectraux et la radiométrie, peuvent dans certains cas fournir des informations concernant les décharges des effluents, les modes de sédimentation, les concentrations en phytoplancton et les changements dans l'utilisation des terres côtières, phénomènes qui peuvent tous être reliés à l'expansion et l'intensification à grande échelle de l'aquaculture côtière (Meaden et Kapetsky, 1991 ; Butler et al., 1988; Kapetsky et al., 1987; FAO, 1989a, 1985b).
147. Les grands changements de l'environnement des zones côtières dans l'escape comme dans la temps peuvent être évalués au moyen des systèmes d'information géographique (SIG). Le SIG est une approche qui par l'utilisation de l'ordinateur permet d'accumuler, de manipuler, d'analyser et de rapporter des données en se référant à l'espace; en d'autres termes, les données peuvent être attribuée à un lieu. Le SIG a prouvé son utilité (voir plus haut) pour l'évaluation de l'impact des projets de développement qui comportent l'utilisation des terres et de l'eau sur les ressources aquatiques et l'environnement, pour la sélection des sites aquacoles en rapport avec les variables écologiques et socio-économiques, ainsi que pour la répartition de l'escape et des ressources entre des utilisations entrant en conflit, et pour la planification du développement aquacole et le suivi de l'impact sur l'environnement.

Figure 14 - Capacité biotique estimée du bassin de Marennes-Oléron, (France). (Développement de la production d'huîtres (P) comme fonction de la biomasse élevée (B) de Crassostrea gigas (▲) et C. angulata (■). Les points noirs (•) indiquent les données P/B calculées pour C. gigas en tant qu'équivalents des données pour C. angulata). (Bailly, 1989, d'après Héral et al., 1986).
5.2.8 Surveillance et suivi de l'environnement de l'aquaculture côtière
148. La plupart des activités aquacoles côtières n'ont pas ou ont peu d'effets sensibles sur l'environnement. On peut s'attendre à ce que, dans de nombreux cas, la capacité de l'environnement des zones côtières soit loin d'être épuisée par la charge de matières organiques provenant de l'aquaculture. Actuellement, un impact important sur l'environnement aquatique ne peut se produire que dans des circonstances particulières comme la combinaison de conditions hydrographiques peu favorables et d'une densité exceptionnelle de fermes ou de pratiques fort intensives. Ces considérations sont importantes lorsqu'il s'agit de décider s'il faut ou non mettre en place des programmes de notification, surveillance ou suivi spécifiques de l'aquaculture.
149. Néanmoins, les activités aquacoles côtières, présentes ou futures, tireront certainement profit de programmes de suivi de la pollution aquacole permettant d'évaluer les changements de l'environnement des zones côtières et, si possible, des bassins fluviaux. Les plans de suivi des activités aquacoles devraient, autant que possible, être intégrés avec activités existantes d'évaluation de la pollution des zones côtières. De plus, les données provenant du suivi spécifique de l'aquaculture pourraient également contribuer à l'amélioration de l'élevage, ce qui peut permettre de réduire les effets écologiques sans diminuer la production.
150. Les principes généraux du suivi et de la surveillance et les besoins sont décrits à la section 5.1.2. Compte tenu de la variété des pratiques aquacoles côtières et de la diversité des effets potentiels sur l'environnement, il est capital de définir exactement les objectifs de toute l'activité de suivi spécifique de l'aquaculture. La collecte de données pour le suivi peut donner lieu à des programmes vastes et coûteux. Il est essentiel que le suivi soit soigneusement planifié et que les techniques adoptées soient statistiquement valables. Il est donc nécessaire, d'effectuer au préalable une évaluation de base pour établir clairement:
- les paramètres-clefs appropriés à enregistrer ou à suivre;
- la durée et la zone à couvrir;
- les avantages et les limites éventuels de l'approche choisie;
- le personnel et l'équipment nécessaires;
- les coûts;
- les sources de financement de cette activité de suivi.
151. Afin que le suivi permette effectivement de savoir si les changements écologiques ne dépassent pas un niveau prédéterminé, il est nécessaire d'identifier et, autant que possible, de quantifier les variations d'un paramètre particulier. Actuellement, le choix des paramètres-clefs à suivre pour évaluer un effet donné suscite de multiples débats (Gowen et al., 1990).
152. Le choix des paramètres est fonction des circonstances rencontrées, par exemple, le type de pratique aquacole, le niveau de production et les conditions physiques et écologiques de la zone. Les paramètres et caractéristiques pour lesquelles des données peuvent être rassemblées sont indiqués brièvement à l'annexe 4.
153. II est important que des stations appropriées de contrôle soient mises en place. La fréquence et les dates de prélèvement des échantillons doivent être liées à la nature du paramètre à surveiller, et il est nécessaire également de tenir compte des effets des variations naturelles et saisonnières d'un paramètre donné. La normalisation de la méthodologie et de la description des paramètres (unités, dimensions, relations, ratios, taux, etc.) présente une grande importance.
5.3 Rôle et fonctions de l'évaluation de l'impact sur l'environnement (EIE)
154. Le concept d'évaluation de l'impact sur l'environnement (EIE) doit être étudié brièvement car elle est parfois considérée comme un outil de gestion, un mécanisme régulateur ou un instrument politique. Il n'existe pas d'EIE “type” ou “idéale”. Le concept d'EIE est controversé et il fait encore l'objet de débats et d'améliorations en ce qui concerne les buts, les objectifs et les procédures. Il existe de nombreuses définitions et concepts de l'EIE, avec des terminologies différentes (Jernelov et Marinov, 1990). Les moyens de mise en oeuvre de l'EIE et les modalités d'incorporation dans les cadres institutionnels des pays et des organisations internationales sont fort variés (ERL, 1990). Cette diversité est un trait positif, reflétant des circonstances et besoins différents partout où l'EIE est appliquée.
5.3.1 Buts de l'EIE
155. Selon le PNUE (1988), l'EIE est un outil de gestion comme le sont l'analyse économique et les études de faisabilité technique. L'EIE 1) permet de prédire l'impact possible des projets sur l'environnement, 2) de trouver les moyens de réduire les impacts inacceptables et de moduler le projet de façon à ce qu'il s'adapte à l'environnement local, et 3) de présenter ces prédictions et options aux responsables des décisions. Bisset (1989) donne une liste d'objectifs de l'EIE:
a) identifier les impacts positifs et négatifs sur l'environnement;
b) suggérer des mesures d'atténuation propres à réduire ou prévenir les impacts négatifs;
c) suggérer des mesures propres à accroître les effets positifs;
d) identifier et décrire les effets négatifs résiduels qui ne peuvent pas être atténués;
e) identifier des stratégies de suivi appropriés pour “repérer” les impacts et servir de système “d'alerte rapide”;
f) incorporer les informations sur l'environnement dans le processus de prise de décisions des projets de développement;
g) faciliter le choix de la solution “optimale” (si plusieurs des sites ou projets possibles sont examinés dans une étude d'EIE).
156. L'EIE “moderne” doit être considérée comme une approche positive, orientée vers l'amélioration et comme un processus itératif (et non comme une étude unique), qui comporte la consultation et la participation du public et couvre les aspects socio- économiques et socio-culturels (Driver et Bisset, 1989). Les paramètres socio-économiques qu'il pourrait être nécessaire de considérer pour le développement de l'aquaculture côtière sont présentés à l'annexe 5. Les aspects sociaux du suivi et de l'évaluation de projets aquacoles ont été étudiés par Molnar et Duncan (1989).
5.3.2 Séquence de l'EIE
157. En général, le processus d'EIE se divise en trois parties: l'examen préalable de l'environnement, le suivi et l'évaluation. L'examen préalable consiste en quatre étapes clefs: première sélection, évaluation préliminaire, portée et évaluation détaillée (voir également figure 15).
158. En guise de première étape, les projets sont examinés sur la base de critères prédéterminés pour décider si un examen plus poussé est nécessaire. Les critères concernant l'impact potentiel sur l'environnement peuvent inclure le type et la dimension des projets, la sensibilité de l'environnement de la zone ou une combinaison des deux. Une approche plus flexible au cas par cas peut également être adoptée.
159. L'étape de l'évaluation préliminaire s'applique aux projets pour lesquels un examen ultérieur de l'environnement est nécessaire. Les aspects suivants sont étudiés: l'impact probable sur l'environnement fondé sur une prédiction initiale, les buts, les besoins sociaux, les besoins techniques et les coûts, le site, le niveau d'utilisation des ressources, les personnes et communautés potentiellement affectées, les solutions de remplacement (y compris les améliorations et adaptations technologiques du projet) et les mesures d'atténuation possibles. Cette étape identifie les projets ayant des effets limités sur l'environnement qui peuvent être facilement surmontés. Lorsque des mesures appropriées d'adaptation sont identifiées et incorporées à l'étude du projet, aucune évaluation supplémentaire n' est nécessaire.
160. L'étape concernant la “portée” est applicable aux projets qui auront probablement des conséquences sérieuses sur l'environnement et qui demanderont un examen et une évaluation approfondis. La portée d'une EIE détaillée est alors déterminée en fonction des objectifs et problèmes principaux, de la méthode appropriée, des besoins en données, des frontières géographiques, de l'horizon chronologique de l'analyse, des coûts, des qualifications nécessaires, des groupes touchés, des institutions, des organismes et des autres solutions possibles.
161. Une évaluation détaillée des projets proposés peut requérir des études de référence sur l'état actuel et passé de l'environnement. Des méthodes d'évaluation et de prévision sont ensuite utilisées pour identifier l'impact et pour en prédire l'amplitude. Un programme de suivi peut être mis sur pied et des mesures d'amélioration /atténuation peuvent être formulées.
162. Le suivi permet de signaler rapidement les effets négatifs (prévus ou non) qui se produisent. Le suivi peut être utile pour fournir continuellement des apports d'EIE à la direction (par exemple, corrections à mi-parcours, l'efficacité et application des mesures d'atténuation recommandées et amélioration des prévisions). Tous les projets qui peuvent avoir des effets négatifs significatifs sur l'environnement devraient comporter un programme de suivi. Dans les cas où l'examen préalable de l'environnement a confirmé que les effets ne sont pas significatifs et que des mesures adéquates ont été prises pour minimiser les effets identifiés, le suivi pourrait consister en examens périodiques des principaux points concernés.
163. Grâce à l'évaluation des projets terminés, les prévisions et les recommandations peuvent être comparées à l'expérience pratique pour juger de leur précision et de leur pertinence. L'évaluation peut aider à identifier des effets additionnels significatifs justifiant des actions correctives. Les résultats de l'évaluation peuvent être utiles pour affiner les prévisions de l'impact sur l'environnement pour des projets futurs de type et d'importance analogues.
164. La figure 16 et le tableau 14 montrent quand et comment une EIE peut faciliter les différents stades d'un projet. Afin de mettre en lumière la variété d'approche et de terminologie, des exemples d'autres séquences d'EIE sont donnés à l'annexe 6.

Figure 15 - Le processus d'EIE (Driver et Bisset, 1989).

Figure 16 - L'EIE et le cycle du projet (Driver et Bisset, 1989).
5.3.3 Méthodologies de I'EIE
165. Il existe plus de 100 techniques et modèles pour réaliser une EIE, y compris les listes de contrôle, l'évaluation de l'environnement, les matrices, les réseaux, les indices de l'environnement, les analyses coûts-avantages, la cartographie superposée, la création de modèles de simulation, qui ont été passés en revue par d'autres auteurs (ESCAP, 1985; Shopley et Fuggle, 1984; Carpenter et Maragos, 1989). Les ressources suivantes sont souvent requises pour effectuer une EIE: 1) établissement d'une équipe multidisciplinaire qualifiée et moyens d'analyses, 2) accès aux techniques appropriées, 3) appui financier et institutionnel et 4) pouvoirs de suivi et d'application.
5.3.4 Problèmes et limites de I'EIE
166. Dans de nombreux pays, les principales contraintes rencontrées sont une base de données insuffisante et le manque de personnel qualifié. L'exécution de I'EIE est souvent entravée par les problèmes suivants:
- rareté et faible fiabilité des données;
- formation/éducation insuffisantes aux méthodologies de I'EIE et à l'établissement d'un cadre juridique et institutionnel approprié;
- prise en compte insuffisante des impacts bénéfiques dans les rapports d'EIE;
- absence d'étude de sites, technologies, projets et stratégies de remplacement;
- participation insuffisante de toutes les parties intéressées et affectées;
- importance insuffisante accordée à la rentabilité nécessaire de l'EIE;
- exécution tardive et manque de suivi et d'évaluation;
- recommandations peu appropriées, par exemple, mesures d' adaptation/atténuation qui sont trop coûteuses ou non réalisables en ce qui concerne l' entretien et le fonctionnement;
- présentation médiocre des résultats de l'EIE.
167. Les connaissances scientifiques concernant les relations de cause à effet en écologie ainsi que la création de modèles d'écosystèmes sont encore en voie d'élaboration, ce qui limite la capacité de prévoir quantitativement tous les changements de l'environnement. De même, les techniques d'évaluation économique de I'impact sur l'environnement ont besoin d'être améliorées bien que de sérieux progrès aient été faits dans l'identification et l'inclusion des facteurs extérieurs au site et futurs (voir par exemple Dixon, 1989; Bergstrom, 1991; Dixon et al., 1986; Hufschmidt et al., 1983; Dixon et Hufschmidt, 1986; Klaassen et Opschoor, 1991; Pierce, 1988).
5.3.5 Solutions de remplacement de l'EIE
168. Bien que la mise en oeuvre de l'EIE et son intégration dans le cadre juridique et institutionnel favorisent probablement le développement durable, d'autres solutions mieux adaptées aux bases de données des pays concernés et au niveau de leur personnel et de leurs autres ressources devraient aussi être étudiées. Dans ce contexte, les procédures de planification matérielle et les règles pour la détermination des zones et l'utilisation des terres présentent une importance particulière.
169. Par exemple, l'aménagement du territoire peut intervenir dans le fonctionnement des marchés lorsque des facteurs extérieurs ou l'intérêt général aboutissent à une évolution défavorable à l'utilisation durable des ressources. Du point de vue des instruments juridique, il faut entre autres concilier des demandes de terres concurrentes en rapport avec les buts, critères et priorités développement déterminés à l'avance (FAO/Pays Bas, 1991b).
Tableau 14: EIE dans la séquence du projet. Note: Les rapports exacts varient entre les projets (Carpenter et Maragos, 1989).
| Etape du projet | Processus EIE |
|---|---|
| 1. Conception | • Sélection pour dégager des problèmes évidents liés à l'environnement sur la base de l'expérience antérieure • Portée des résultats significatifs pour une EIE éventuelle |
| 2. Etude préliminaire | • Examen des sites pour connaître la sensibilité écologique • Application des conclusions d'une EIE générique aux technologies envisagées. - Evaluation préliminaire • Rassemblement de données de référence sur l'environnement - Participation du public à la planification du projet |
| 3. Faisabilité | • Prévision et quantification des impacts • Examen de l'EIE par des experts publics et indépendants • Interaction avec des analyses d'engineering pour proposer des technologies de remplacement • Identification des besoins de mesures de prévention et d'atténuation • Evaluation des facteurs extérieurs - Analyses coûts/bénéfices - Négociation de conventions de protection de l'environnement dans le cadre d'accords financiers |
| 4. Préparation du projet et engineering | •Etudes détaillée des mesures d'atténuation, affinement des prédictions d'impacts et analyse économique, couvrant notamment la rentabilité • Conception des programmes de suivi |
| 5. Mise en oeuvre | •Mise en place de mesures d'atténuation • Correction à mi-parcours sur la base des résultats effectifs |
| 6. Fonctionnement et entretien | •Suivi pour vérifier la conformité et contrôle de la précision des prévisions |
| 7. Evaluation du projet terminé | •Contrôle des comptes et leçons pour les futures EIE |
170. Généralement, on constate une tendance croissante à associer plusieurs approches et méthodologies pour résoudre les problèmes socio-économiques et ceux liés à l'environnement; comme l'indiquent, par exemple les lignes directrices récentes pour la planification de l'utilisation des terres, du développement des zones rurales et du développement économique-environnemental (FAO, 1989b, 1991b; Bendavid-Val, 1990; ADB, 1991a, 1991b, 1988). Récemment, le Programme des Nations Unies pour le développement a publié un manuel ainsi que des lignes directrices pour l'aménagement de l'environnement et le développement durable (PNUD, 1991).