Previous PageTable Of ContentsNext Page


Chapter 7 BMI distribution in developed and developing countries


Chapter 7 BMI distribution in developed and developing countries

A universal reference range of BMI

Earlier, we presented the data on BMIs obtained from men and women from the UK who were in active military service and hence assumed to be physically fit and healthy. This database was the primary source used at the original IDECG workshop for determining the criteria for specifying the range of BMIs to be classed as CED in adults. An important issue still to be addressed is whether a BMI in the 18.5 to 25.0 range is a useful reference standard for normality and hence optimum for health throughout the world.

In Table 7.1, the distribution of BMIs among healthy UK adults, both males and females aged 20-65 years is shown (Knight, 1984; Jones et al., 1986). The percentage distribution of French males and females according to BMI grades, for adults of ages ranging from 20 to 87 years is shown in Figure 7.1. In both of these fairly large databases showing the distribution of BMIs among adult males and females from two European countries, the majority of the population is found to be in the optimum or acceptable BMI range between 20.0 to 25.0. A recent study in the Netherlands (de Boer et al., 1988) has also shown that BMIs of well-nourished adults range between 20.0 and 24.0 irrespective of their ethnicity or country of origin. Active Czechoslovak men who were either middle distance runners, endurance runners, marathon runners, football players or pentathlon participants, all had a BMI between 20.0 to 24.0 (Bunc et al., 1984). The Japanese National Nutrition Survey (1983 - 1986) had BMI means for adult males and females in three age groups distributed within the same range, i.e. adult males aged 18 to 60+ years, had mean BMIs ranging from 21.6 to 22.9, and adult females of the same age groups had mean BMIs from 20.8 to 22.8. The large Cornell/Oxford Epidemiology Survey in China (Junshi et al., 1990) also indicated that the mean BMIs of Chinese men and women, between the ages of 45-54 years, were 20.5 and 20.7, respectively. Data on BMI of well-nourished individuals from several studies conducted in Africa show the mean BMIs to range from 20.7 to 25.5. In India, the urban affluent population had BMIs of about 24 and both rural well-nourished men and women have BMI means over 20 (Gopalan, 1989b; Satyanarayana et al., 1991). The differences in the mean BMIs of the rural and urban well-nourished populations, i.e. greater mean BMIs of urban dwellers, may be attributed to a higher prevalence of obesity among the urban well-nourished group.

TABLE 7.1 Percent distribution of BMI of UK adults aged 2065 years

 

< 20

20.0-24.9

25.0-29.9

> 30

Males 1,2

7

50

36

6

Females 1

12

54

25

9

Sources: 1 Knight, 1984. 2 Jones et al., 1986.

Figure 7.1 - BMI distribution among French adults

Source: adapted from Rolland-Cachera et al., 1991

BMI distribution of populations in developing countries

BMI distributions and their central tendencies among male and female adults of several developing countries are summarized in Table 7.2 although not all the data sets are nationally representative. Mean and median BMIs of both sexes in these data sets lie within the optimum range. The percent distribution of male and female adults according to the BMI categories from four different countries in the developing world is shown in Table 7.3. It is seen that 62 to 76 percent of females and 74 to 84 percent of males have an acceptable range of BMI in these countries. In some of these countries, e.g. Brazil, Togo, and Tunisia, a proportion of individuals have some degree of obesity.

TABLE 7.2 Mean, Median and CV of the BMI among adults in selected countries

Location

Categories

Number of adults

Mean BMI

Median BMI

C.V. BMI (%)

Benin (1987/88)1

Males

1,582

20.7

20.610.6

 
 

Females

1,612

20.9

20.6

14.8

Brazil (1974/75)2a

Males

60,296

22.4

21.9

14.4

 

Females

62,343

22.9

22.1

18.8

China (*) (1982)3

Males

963

21.1

20.7

11.4

 

Females

1,463

21.6

21.2

13.9

India (1988/90)4b

Males

9,447

18.9

18.6

13.7

 

Females

11,914

19.0

18.6

15.5

Rwanda (1982)5

Males

964

20.6

20.4

9.9

 

Females

1,104

21.2

21.0

12.2

Togo (1986)6c

Males

2,334

22.0

21.3

14.3

 

Females

2,107

23.0

22.6

16.6

Tunisia (1980)7a

Males

4,360

23.0

22.7

13.0

 

Females

4,251

23.9

23.2

17.6

Sources: 1 DANA-the Rep. of Benin/"La Sapienza" University, Rome. 2 IBGE. 3 NINFH. 4 NIN. 5 François, 1990. 6 Banque d'information permanente, Ministère du Plan (BIP). 7 Institut National de la Statistique (INS).

(*) Sub-sample.

a urban/rural representative

b rural representative

c urban representative

Diagrammatic representation of the distribution confirms that the majority fall within the acceptable BMI ranges (See Figure 7.2).

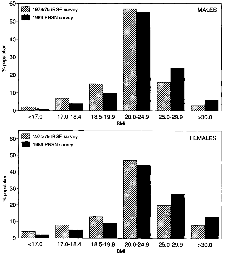
The distribution of a sub-sample of men and women from a national survey in China, according to BMI categories, is represented in a histogram (See Figure 7.3). The changes in BMI distribution which have occurred over time in Brazil and India, are shown in Figures 7.4 and 7.5, respectively. The distribution for Brazil is based on the Estudio nacional da despesa familiar (ENDEF) and the Pesquisa Nacional de Saúde e Nutrição (PNSN) survey conducted in 1974-75 and in 1989, respectively. The findings for India are based on two sets of aggregated data from two separate series of National Nutrition Monitoring Bureau (NNMB) surveys. The first series was conducted between the years 1974-79 and the second between 198890. The BMI status of Indian adults showed an improvement; nevertheless, the data indicate that India had a high proportion of adults with BMI < 18.5., even in 1989-1990.

TABLE 7.3 Percent distribution of male and female adult populations according to BMI categories

Location

 

Number of

BMI categories

   

adults

< 17.0

17.0-18.5

18.5-25.0

25.0-30.0

>30.0

Brazil1

Males

60,296

1.7

6.2

74.1

15.4

2.6

 

Females

62,423

3.8

8.4

61.7

19.0

7.1

China2

Males

6,198

3.7

7.6

84.0

4.3

0.3

 

Females

7,116

6.0

7.3

75.6

9.7

1.4

Togo3

Males

2,334

11.1

6.3

78.0

12.0

2.6

 

Females

2,109

2.0

7.8

75.6

19.3

3.5

Tunisia4

Males

4,360

1.1

3.7

75.1

17.6

2.4

 

Females

4,251

1.4

4.0

61.9

24.4

8.3

Sources: 1 IBGE. 2 INFH (Beijing). 3 BIP. 4 INS.

Figure 7.2 - BMI distribution of males in Brazil, China and Tunisia*

Source: François, P., FAO, 1990, unpublished data.

This finding among populations in India raises the issue of whether the population is constitutionally different from those of other nations. The argument that Indians are unique and, therefore, have fundamentally different needs cannot be sustained since affluent Indians have a "normal" BMI (as noted in earlier chapters) and detailed studies of Indian children growing up in affluent communities within India show that they conform with the global reference WHO standards for height and weight. The data do, however, raise the fundamental question of the state of adult nutrition in countries on South and Southeast Asia. Malaysians evidently do not have a problem of food availability but there are grounds for substantial concern in Vietnam where adult malnutrition is apparent in all groups but is particularly drastic in those persons over 60 years of age.

The distribution of BMI by categories for both male and female adults from 13 countries in the developing world is summarized in Table 7.4. Only those countries whose surveys were nationally representative were selected. Comparisons of nutritional status of adult populations are possible but caution should be taken because the time and length of study periods differ from one country to another. Furthermore, the composition of the groups of adults are not identical in terms of age and sex.

Figure 7.3 - BMI distribution among Chinese adults, 1982

Source: Ge, K., 1992, based on data presented al a meeting

"Functional Significance of Low Body Mass Index (BMI)",

Rome. 4-6 November, 1992.

Figure 7.4 - BMI distribution among Brazilian adults in 1974-75 and 1989

Source: de Vasconcellos, 1992, based on data presented at a meeting

"Functional Significance of Low Body Mass Index (BMI)",

Rome, 4-6 November, 1992.

Figure 7.5 - BMI distribution among Indian adults in 1974-79 and 1988-90

Source: Naidu, A.N. 1992, based on data presented at a meeting

"Functional Significance of Low Body Mass Index (BMI)",

Rome, 4-6 November, 1992.

In general, Latin American countries have a large percentage of adults with a tendency to obesity (BMI _ 25.0), usually more than one-third of the population. Conversely, the percentage of people who tend toward emaciation is far smaller (3 to 6 percent). Percentages of "normal" adults (with BMI between 18.5 and 25.0) are around 60 percent.

In Africa, the tendency toward emaciation (BMI <= 18.5) is greater in Sahelian countries (e.g. Mali, 16.3 percent) than in tropical and subtropical areas. In North Africa, the tendency to obesity is more evident. Data related to BMI of adults in Asian countries show that great proportions of their populations have a BMI under 18.5: from 12.5 percent in Chine to 48.6 percent in India in 1989-90. For some countries of Europe and North America, data indicate a small number of adults with BMIs _ 18.5. On the other hand, the percentage of adults with a tendency towards obesity is extremely high, from 32.4 percent in France to more than 55.0 percent in the USA.

The data presented in this section demonstrate the sort of considerations which are possible using BMI as an objective index of nutritional status of adults in population groups. BMI distributions represented in this manner allow for intercountry or interregional comparisons provided that specific technical considerations be carefully given to the collection of such information during national surveys conducted either for nutritional surveillance or for purposes of nutritional monitoring. The use of the BMI also has the advantage of allowing the assessment of changes over time within a community. This simple indicator can be used to evaluate the impact of intervention strategies and economic development on nutrition status.

TABLE 7.4 Percent distribution of adults by BMI categories for selected country surveys

     

BMI categories

Location

Year/source

Number of adults

< 16.00

16.00-16.99

17.00-18.49

18.50-24.99

25.00-29.99

>30.00

Mean

AFRICA

Congo (women)

1986/87 1

2,295

0.6

1.8

8.7

73.7

11.8

3.4

23.1

Ghana

1987/88 2

6,323

2.8

3.9

13.3

62.0

17.1

0.9

 

Mali

1991 3

4,868

1.9

3.2

11.2

76.5

6.4

0.8

21.1

Morocco

1984/85 4

41,921

0.5

1.1

5.4

69.1

18.7

5.2

22.97

Tunisia

1990 4

10,023

0.3

0.6

3.0

58.9

28.6

8.6

24.25

EUROPE & N. AMERICA

Prance

1980 4

14,233

0.4

0.7

3.8

62.7

26.2

6.2

24.00

Hungary

1985/88 11

14,012

3.6

0.2

1.3

43.5

36.1

15.3

25.03

USA

1976/80 5

13,760

0.2

0.6

2.7

41.3

41.6

13.6

25.3

LATIN AMERICA

Brazil

1989 6

32,381

0.5

0.9

4.2

61.7

25.1

8.6

(22.8, 23.2)(*)

Cuba

1982 7

30,363

0.6

1.3

5.4

56.3

26.9

9.5

-

Peru

1975/76 8

3,145

0.2

0.2

2.6

63.2

24.8

9.0

-

ASIA

China

1982 9

13,387

1.0

3.9

7.4

79.5

7.2

1.0

20.98

India

1988/90 10

21,361

10.2

12.7

25.7

47.9

3.0

0.5

-

Sources. 1 ORSTOM. 2 World Bank. 3 Direction Nationale de la Statistique et de l'Informatique (DNSI). 4 Institut National de la Statistique (INS). 5 National Health and Nutrition Examination survey (NHANES 11). 6 IBGE/PNSN. 7 Instituto de Desarrollo de la Salud (IDS). 8 Encuesta Nacional del Poblador Peruano (ENPPE). 9 Institute of Nutrition and Food Hygiene (INFH, Beijing). 10 NIN. 11 Hungary National Survey (Budapest). (*) Median value (teen, women)

Previous PageTop Of PageTable Of ContentsNext Page