Page précédente Table des matières Page suivante


III. LES DESINFECTANTS (suite)

Les agents oxydants non halogènes

Par agents oxydants, on entend essentiellement:

  1. Le peroxyde d'hydrogène ou eau oxygénée (H2 O2).
  2. Le perborate de sodium.
  3. Le permanganate de potassium.

Surtout utilisé à cause de sa coloration pour la désinfection des canalisations d'eau potable.

Il est efficace à forte concentration.

L'eau oxygénée

L'eau oxygénée du commerce est à 110 volumes soit 30% de matière active (1 volume = 1 litre d'oxygène libéré par 1 litre d'eau oxygénée).

L'oxygène n'est libéré véritablement qu'à partir de 60 °C.

Les désinfectants à base de peroxyde d'hydrogène sont très appréciés en industries alimentaires car les résidus ne sont pas toxiques (décomposition en eau et en oxygène). C'est pour cette raison qu'ils sont utilisés pour stériliser les emballages avant soutirage aseptique. A cet effet, on travaille à des concentrations importantes et à une température élevée pour réaliser une désinfection complète dans le temps court imparti (quelques secondes).

L'action microbicide du peroxyde d'hydrogène est basée sur son pouvoir oxydant qui détruit de façon irréversible les systèmes actifs des cellules de micro-organismes.

Les désinfectants à base de peroxydes conviennent également à la désinfection à froid, à basse concentration. Toutefois, le temps d'action sera long, le peroxyde d'hydrogène libérant son oxygène lentement.

L'eau oxygénée est active sur les bactéries à la concentration de 1%.

Oxydation non sélective des constituants organiques. Temps de contact et températures plus importantes.

Avantages

Inconvénients

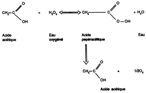
L'eau oxygénée activée ou acide péracétique

L'acide péracétique était un désinfectant qui possédait depuis longtemps une bonne renommée dans les cercles scientifiques. Toutefois, vu le danger que comportaient les solutions concentrées, on ne l'utilisait que dans les cas où l'on avait besoin de son efficacité hors pair, et où l'on pouvait exercer en même temps un contrôle minutieux des conditions de travail. Des exemples d'utilisation ont notamment été l'obtention d'engins spatiaux sans germes et d'animaux “hors germes”.

Des sociétés industrielles proposent maintenant des désinfectants utilisant une combinaison de substances actives d'eau oxygénée et d'acide péracétique, qui ne présentent pas les difficultés d'utilisation de l'acide péracétique. Ces désinfectants ne présentent pas de danger d'explosion, ni en solution diluée ni en solution concentrée.

Ces désinfectants agissent par oxydation non spécifique du corps microbien. L'accoutumance n'est donc pas à craindre.

Un avantage décisif de ces désinfectants est l'effet sporicide.

Composition de base

Caractéristiques physico-chimiques

Dureté de l'eau (TH)30°65°
Eau pure (pH)57,27,6
Concentration en %   
0,1%3,86,87,0
0,3%3,65,36,5
0,5%3,34,66,1
1%3,14,15,1

Produit légèrement acide aux concentrations normales d'utilisation

i) Stabilité

Produit pur:

Stabilité au stockage: un an, à des températures comprises entre: -20 °C et + 35 °C.

Solution diluée:

Les essais réalisés sur des solutions aux concentrations de 0,05 à 0,1 % montrent qu'en l'absence de souillures organiques, à 10 °C, dans une eau de 30° TH, les propriétés désinfectantes ne sont pas modifiées de façon sensible pendant 14 jours.

Les matières minérales n'ont aucune influence sur la stabilité des solutions. Il est donc possible d'ajouter une action désinfectante à une phase de nettoyage acide après avoir éliminé, par un nettoyage efficace, les matières organiques souillant le matériel.

ii) Efficacité vis-à-vis des spores

Méthode de suspension (norme allemande DLG)

Le tableau exprime le temps nécessaire, en minutes, pour détruire à 100 % une population initiale de spores de plus de 107/ml (valeur entre parenthèses). Le dénombrement des bactéries sporulées est effectué après 10 minutes de chauffage à 85° C.

Températures5 °C10 °C20°C40°C
Concentration d'essais en %0,250,50,250,50,250,50,250,5
Bacillus cereus
[3×107]+ 
6060606060604010
Bacillus subtilis
[1×107]+ 
60406040105101
Bacillus mesentericus
[2×108]
606060606020605
Bactéries thermophiles
[1×107]+ 
6040404020552,5
Clostridium perfringens
[1×107]+ 
601060102052,51
Clostridium species
[11×107]+ 
401040102,52,52,51

+ = Dénombrement de spores après 10 mn de chauffage à 85 °C.
A 0,5% et 40 °C, destruction des spores en 10 minutes.

iii) Efficacité vis-à-vis des bactériophages

Travaux du Dr Teuber (Institut de recherche laitière de Kiel, 1978).

Le test a été effectué sur deux types de bactériophages fréquemment rencontrés dans les accidents d'acidification:

- Phage P 001 qui attaqueS. lactis
S. diacetilactis
S. cremoris
- Phage P 008 plus spécifique, n'attaquant que S. lactis et S. diacetilactis.

Les bactériophages ont été inoculés à des suspensions de bactéries hôtes cultivées sur lait écrémé reconstitué (DIFCO 10% de matières sèches).

Les phages ont été dénombrés avant et après traitement par la méthode de l'agar en double couche (Adams, 1959). Les résultats sont exprimés en coefficient de réduction CR = log10 UP avant traitement -log10 UP après traitement.

UP étant une unité formant une plage (particule de bactériophage infectieuse).

Efficacité d'un désinfectant industriel à base d'acide péracétique sur le phage 001 en absence ou en présence de 1% de lactosérum

MilieuSans lactosérumAvec 1% de lactosérum
Température4 °C20 °C20 °C
Temps d'action
(mn)
510205102051020
Conc.
(%) 
0,056,46,46,44,35,15ITITITIT
0,1  7,4ITITITITITITITIT
0,2  ---------

Population initiale: 2,5. 108 phages/ml (log10 UP avant traitement = 8,4).
IT: Inactivation totale, correspond à la destruction totale des phages ou à la limite inférieure de détection de la méthode.

Efficacité d'un désinfectant industriel à base d'acide péracétique sur le phage 008 en absence de lactosérum

MilieuAbsence de lactosérum
Température20° C
Temps d'action
(mn)
51030
Conc. 
(%) 
0,054,0ITIT
0,1ITITIT

Population initiale: 3.107 phage/ml (log10 UP avant traitement = 7,5)
A 0,1% et 20 °C destruction en 5 minutes des bactériophages.

iv) Efficacité à basse température

Contrairement au peroxyde d'hydrogène ou au perborate, ces désinfectants ont une action rapide à basse température. Ils seront donc particulièrement intéressants pour résoudre les problèmes de désinfection dans les entrepôts frigorifiques.

v) Corrosion

En tout état de cause, ce type de désinfectant, dans les conditions normales d'utilisation, ne présente pas plus de risques de corrosion que tous les autres agents désinfectants oxydants (chlore, eau oxygénée, iode).

Aciers inoxydables

Dans les conditions normales d'utilisation:

- Concentration0,5%
- Température50 °C
- Temps d'action2 heures
- Concentration en chlorures50 mg/l

Il n'existe aucun risque de corrosion vis-à-vis des aciers inoxydables austénitiques couramment utilisés en industrie alimentaire.

Alliages d'aluminium

Ce type de désinfectant à 0,75% et 60 °C ne provoque qu'une très légère corrosion généralisée de l'alliage d'aluminium. Il provoque une corrosion par piqûres, dans les mêmes conditions, lorsque les durées de contact sont relativement longues (supérieures à une heure).

Par contre, dans les conditions normales d'utilisation: 0,5% et 50 °C, lorsque les durées de contact sont courtes - de l'ordre de 20 minutes environ - il n'y a pas de risque de corrosion par piqûres.

Laiton, bronze, cuivre

L'utilisation de ce désinfectant est à proscrire sur ces types de matériaux.

Matériaux synthétiques (voir tableau)

L'agressivité de ce type de désinfectant vis-à-vis de ces matériaux est fonction de la nature des molécules et des conditions d'utilisation: concentration, température, temps d'action.

Le nombre et la complexité des molécules utilisées en particulier pour les caoutchoucs synthétiques alimentaires constituants les joints d'étanchéité, font que pour une même famille de produits donnés, le degré de polymérisation, la nature des charges et additifs influent sur la résistance à la corrosion.

vi) Sécurité vis-à-vis des produits alimentaires

Ce type de désinfectant procure une très grande sécurité d'utilisation du fait de sa décomposition immédiate en eau et en acide acétique en présence d'un excès de matières organiques.

Résistance des matériaux synthétiques

MatériauxConcentration/
température
Degré d'attaque
Durée de l'essai
Matières plastiques  
- PVC 2–5% 20 à 50 °CA - 2 mois
- Polypropylène 2–5% 20 à 50 °CA - 2 mois
- Polyéthylène Toutes concentrations jusqu'au produit purA - plusieurs années
- Polyamide moulé 2–5% 20 à 50 °CA - décoloration
- Polyméthyl-métacrylate (plexiglas) 2–5% 20 à 50 °CA - 2 mois
Caoutchoucs synthétiques  
- Copolymère de butadiène (styrol) 0,5 et 1%
20 et 50 °C
A - 3 semaines
- Viton (fluoroélastomère)[ 0,2–1% de 20 à 50 °CA - 4 semaines
 1–3% jusqu'à 70 °CB + C - 1 à 2 semaines
- Caoutchouc fluoré[0,5 à 3% – 20 à 40 °CA - 4 semaines
 0,5 à 3% 70 °CB - 4 semaines
- Caoutchouc éthyléné propyléné Toutes concentrations (pur) A - 2 mois
- Caoutchouc “butyle”[0,2 à 3% – 20 à 40 °CA - 2 mois
 0,5-3% - 70 °CC - 4 semaines
- Caoutchoue siliconé 0,2 à 3% – 20 à 70 °CA - 4 semaines
- Copolymère de butadiène avec nitrite acrylique[3% 20 °CA 
 3% 40 °CB - 4 semaines
 3% 70 °CC 
- Caoutchouc nitrylé[0,2–2% 20 °CA - 4 semaines
 0,2–2% 50 °C 
 Pur 20 °CC - 4 semaines
Téflon Toutes concentrations
20 – 80 °C
A - 1 an
Polychloroprène 0,5% à 40 °CC 

Degré d'attaque: A - pas d'attaque
B - attaque faible à moyenne
C - attaque forte à destruction

Durée de l'essai: immersion continue pendant la totalité de l'essai.

Nous avons étudié l'influence d'une fausse manoeuvre, telle qu'un rinçage non effectué après désinfectation de tanks à lait avec une solution de ce désinfectant à 0,5% (cas ultime). La rétention de solution sur une surface en acier inoxydable lisse après égouttage est de 10 ml/m2.

Capacité du tankSurface mouilléeRétention d'une solutionConcentration en désinfectant après remplissage du tank
25 000 149 m2490 ml0,1 ppm
140 000 1180 m21 800 ml0,06 ppm

Conclusion

Nous constatons que, même dans le cas d'un oubli de rinçage, à la concentration relativement importante de 0,5%, les quantités retrouvées dans le lait ou le produit alimentaire pourrait être considérées comme négligeables et de toute évidence, sans effet sur le produit alimentaire.

En effet, même dans le cas défavorable d'un faible rapport volume/surface, elles seraient inférieures à 0,1 ppm.

vii) Rejets

Ce désinfectant est un produit qui ne présente aucun problème d'environnement.

Entraîné dans les eaux résiduaires, il se décompose rapidement, en présence de matières organiques, en acide acétique (acide faible) et en eau.

Outre ses très faibles concentrations d'utilisation, il ne possède aucune rémanence, ni ne présente de phénomène d'accumulation dans les tissus vivants.

Ce désinfectant n'a pas d'influence sur les boues biologiques des stations d'épuration, il est biodégradable à 100%.

Avantages

Inconvénients

Les aldéhydes

La plupart des noms sont consacrés par l'usage:

Aldéhyde formique ou formol ou méthanal
Aldéhyde acétique ou acétaldéhyde
Glyoxal

Outre le formol, utilisé en désinfection depuis plusieurs décennies, on dispose aujourd'hui de formulation mettant en oeuvre différentes combinaisons d'aldéhydes.

i) Le formol

L'aldéhyde formique est un composé extrêmement réactif. Il se polymérise très facilement même à froid en donnant des polymères insolubles qui troublent les solutions aqueuses. Pour éviter cet inconvénient, on ajoute à celles-ci des stabilisants en particulier de l'alcool méthylique.

Dans la pratique, l'aldéhyde formique est livré sous forme de solutions aqueuses à des concentrations diverses de 30 à 40% en poids. Ce sont des liquides incolores, d'odeur piquante, miscibles à l'eau. Ils contiennent de l'alcool méthylique (jusqu'à 15%) et des traces d'acide formique et d'acide acétique.

A faible concentration, les vapeurs d'aldéhyde formique sont irritantes pour les muqueuses. A concentration plus élevée, une irritation des voies respiratoires supérieures se produit, accompagnée de toux et de sensations de constriction thoracique. L'inhalation de doses massives (cas exceptionnels) d'aldéhyde formique entraîne la nécrose des muqueuses atteintes. L'intoxication chronique est également connue avec comme manifestations: “Catarrhe nasal, pharyngite, laryngite chronique ainsi que bronchite et asthme”.

Par contact répété, les solutions ont un effet irritant sur la peau pouvant entraîner des lésions eczémateuses avec altération des ongles (brunissement, ramollissement, douleurs des extrémités digitales) et des ulcérations cutanées.

Dans certains cas, on sublime du paraformaldéhyde dans des enceintes fermées où il agit donc en phase gazeuse.

En désinfection d'ambiance, l'action du formol est la meilleure lorsque l'hygrométrie est de 60%.

La plage d'activité varïe des pH faiblement acides à neutres. On peut utiliser les solutions formolées en addition à des solutions acides, mais non à des produits alcalins.

L'utilisation du formol en tant que désinfectant a été limitée à cause de son odeur pénétrante et de l'irritation associée pour les yeux et le nez. On lui reproche également la formation de résidus durs (type galalithe) qu'il engendre avec les souillures organiques.

Le traitement d'ambiance doit être réalisé en l'absence de personnel et de denrées alimentaires.

Un délai minimum de 4 heures sera respecté entre la fin de la nébulisation et la reprise du travail.

Avantages

Inconvénients

ii) Glutaraldéhyde

L'activité du glutaraldéhyde est liée à la présence des groupements aldéhydes libres, qui interfèrent avec les groupements aminés des cellules microbiennes.

En solution acide, le glutaraldéhyde est moins actif qu'en solution alcaline. Cependant, cette différence d'activité est atténuée par une augmentation de la température.

Les solutions de glutaraldéhyde sont naturellement acides, pour améliorer l'activité, il est nécessaire d'alcaliniser légèrement ces solutions à pH 7,5 à 8 environ, mais les solutions deviennent moins stables et la molécule se polymérise et l'activité diminue.

En solution alcaline tamponnée, le glutaraldéhyde est sporicide à la concentration de 2%, bactéricide à partir de 0,1%, fongicide à partir de 0,5%.

Avantages

Inconvénients

iii) Les produits commerciaux

Les produits commerciaux proposés proposés à base d'aldéhydes peuvent présenter les avantages suivants par rapport aux matières de base:

  1. L'adjonction d'un tensio-actif permet une meilleur epénétration du principe désinfectant au niveau des micro-organismes. Il favorise également la nébulisation du produit en un fin brouillard homogène.

  2. Il existe une action synergique entre différents aldéhydes en présence de catalyseurs.

    Par la combinasion de formaldéhyde avec des ammoniums quaternaires, on élargit le spectre bactéricide. Ce groupe de substances actives convient parfaitement à la désinfection des surfaces, et peut être utilisé pour le traitement de l'ambiance dans les industries alimentaires.

Activité bactéricide

Test de suspension selon la méthode DLG
(Temps en minutes nécessaire pour détruire la totalité des germes)

Température5 °C25 °C50 °C
Concentration1%2%5%1%2%5%1%2%5%
Germes testés
Escherichia coli
[2,2.108] g/ml
40201405152,51
Staphylococcus aureus
[1,7.108]
40512051511
Streptococcus faecalis
[2,1.107]
40201401011051
Pseudomonas aeruginosa
[3,3.108]
40401404011051
Candida albicans
[2,3.106]
40202,52051511

pH de la solution à 1% = 5

Traitement d'ambiance avec désinfectant commercial à base de formol

Les biguanidines

Chlorhydrate de poly(hexaméthylène - biguanidine).

Mode d'action

La molécule s'adsorbe rapidement à la surface cellulaire et provoque des lésions membranaires avec fuite du matériel cellulaire ou une précipitation des protéines et des acides nucléiques.

Le pH d'activité se situe autour de la neutralité: 6 à 9.

Avantages

Inconvénients

Mode d'utilisation - doses actives

Ces produits sont encore peu utilisés en désinfection et surtout connus comme antiseptiques et conservateurs.

La molécule de caractère cationique est inactivée par les dérivés anioniques, sulfates et sulfonates. Elle est par contre compatible avec les acides, les ammoniums quaternaires et les détergents non ioniques.

Ce produit est bactéricide à 400 ppm et fongistatique.

Résultat obtenu avec un produit commercial à base de sels de biguanidine

Caractéristiques physico-chimiques

Corrosion

Perte de poids en g/m2 après 24 heures, à 20 °C dans de l'eau à 29° TH

 Concentrations
0,5%1%
Aluminium type A50,040,06
Laiton0,150,37
Acier inox0,000,00
Acier doux1,751,75
Cuivre0,190,27

Toxicité

Toxicité orale aiguë du produit pur DL 50 2g/kg chez le rat.

Activité microbicide

Norme AFNOR NFT 72-150 à 20 °C

Germes testésPopulation
initiale
Concentration (V/V)pH
0,1%0,2%0,5%1,0%1,5%
Pseudomonas aeruginosa CNCM A 222.108000006,4
Escherichia coli CNCM 541271,3.108000006,4
Staphylococcus aureus CNCM 531543,5.10827199006,4
Streptococcus faecalis CNCM 58551,2.10817200006,4
Mycobacterium smegmatis CNCM 73263,1.10830030088006,4

Conclusion: concentration bactéricide du désinfectant testé: 1%

Test de suspension DLG

Concentration15 °C45 °C
Souches testées0,25%0,5%0,25%0,5%
Escherichia coli (ATCC 10536) 4,1.108 germes/ml1111
Staphylococcus aureus (ATCC 9144) 1,3.108 germes/ml52,511
Streptococcus faecalis (ATCC 10541) 6.107 germes/ml11<1<1
Candida albicans (ATCC 10231) 3.107 germes/ml2,51<1<1
Saccharomyces cerevisiae (ATCC 9763) 1,2.107 germes/ml20202,52,5
pH des solutions7,07,15  

Note: Pour saccharomyces cerevisiae, il faut une concentration de 1% pour obtenir une réduction minimum de 105 germes en l minute à 15 °C.

Conclusion: le désinfectant testé est bactéricide à la concentration de 0,5 à 1% à la température ambiante.

Influence de la température sur l'efficacité microbicide

Germes testésTemps
 min
Concentration
en %
Réduct. logarithmique
5°C15°C45°C
Escherichia coli10,1255,835,47,61
Streptococcus faecalis10,125-3,956,78
Staphylococcus aureus2,50,1253,634,257,11
Saccharomyces2,50,125-2,64,77
Cerevisiae 0,252,62,66,08
Candida albicans10,253,04,636,47

Influence du pH sur l'efficacité microbicide

Réduction d'Enterobacter clocae
pHPopulation
initiale
Population initiale
après 3 mn
Log.
réduction
218×10347×1011,58
639×10639×1015,0  
726×10607,41
859×10651×1015,01
941×10665×1014,80

Les alcools

Méthanol ou alcool méthyliqueCH3 - OH
Ethanol ou alcool éthylique
(alcool ordinaire)
CH3 - CH2OH
IsopropanolCH3 - CHOH - CH3
ButyglycolCH2OH - (CH2)2 - CH2OH

L'alcool éthylique est d'un usage commun. Son efficacité n'apparaît qu'en solution diluée, elle est optimale entre 50% et 70%. Son pouvoir est bactéricide mais ne s'exerce pratiquement jamais à l'égard des formes sporulées. C'est un désinfectant cutané dont l'action n'est que superficielle.

Les alcools supérieurs propylique, butylique, amylique ont un pouvoir bactéricide qui grandit avec le poids moléculaire mais leur solubilité dans l'eau diminue d'autant et en limite l'usage.

Les alcools seront utilisés seuls ou associés à d'autres substances actives essentiellement pour la désinfection des mains et le traitement des ambiances.

Leur volatilité permet de les utiliser pour la désinfection sans rinçage des mains.

L'action des alcools serait due à la dénaturation des protéines et/ou à l'inhibition de la synthèse des organites essentiels.

Le butylglycol est surtout utilisé comme stabilisateur dans certaines formules.

Avantages

Inconvénients

Les tests effectués sur un désinfectant liquide pour les mains ayant l'éthanol, l'isopropanol et l'alcool benzylique comme matières actives ont donné les résultats suivants:

Mode d'emploi

a) Désinfection hygiénique des mains

Désinfecter les mains par deux fois avec 3 à 5 ml de produit pendant 30 secondes (jusqu'à ce qu'elles soient sèches).

b) Désinfection chirurgicale des mains

Répandre 5 ml de produit sur les mains (en cas de désinfection simultanée des avantbras, il y a lieu d'augmenter la quantité).

Frotter soigneusement les mains pendant 2,5 minutes, rincer et désinfecter à nouveau avec 5 ml de produit pendant 2,5 minutes. Le désinfectant sèche très vite, rendant inutile l'utilisation de serviettes stériles.

Efficacité désinfectante

Test des suspensions réalisées selon les normes DLG allemandes.

Germes testésConcentration
%
Destruction
en mn
Staphylococcus aureus402
Escherichia coli402
Pseudomonas aeruginosa402
Bacterium proteus402
Candida albicans305
Tricophyton mentagrophytes305
Microsporum gypseum305

Pour les bactéries, le temps de test le plus court était de 2 minutes, pour les champignons de 5 minutes.

A la concentration de 40%, le produit reste actif en présence d'albumine et de savon.

a) Désinfection hygiénique des mains

Germes testésEscherichia coli 108 germes/ml
Quantité de désinfectant3 ml
Temps d'action30 secondes
Nombre de personnes testées15 = 30 mains
Résultats6 mains - 0 germes
14 mains - 1 à 10 germes
5 mains - 11 à 50 germes
2 mains - 51 à 100 germes
3 mains - 101 à 200 germes

b) Désinfection chirugicale des mains

Quantité de désinfectant2×5 ml
Temps d'action2×2 ½ minutes
Nombre de personnes testées15 = 30 mains
RésultatsRéduction de germes
* 100%: 14 mains
* 95%: 13 mains
* 90%: 2 mains
* 80%: 1 main
Réduction moyenne des germes: 98,52%

Les fabricants proposent pour le traitement de l'ambiance des désinfectants ayant comme bases actives des mélanges d'isopropanol et de formaldéhyde. Le produit est utilisé en nébulisation.

Activité microbicide

Test de destruction d'après les directives de la DGHM (température 20°C)

Germes testésConcentration en désinfectant
10%25%
Staphylococcus aureus< 60 mn20
Escherichia coli< 60 mn40
Pseudomonas aeruginosa< 60 mn60
Proteus vulgaris< 60 mn40
Saccharomyces carlsbergensis< 60 mn60
Aspergillus niger< 60 mn20
Penicillium camerunense< 60 mn60

Résultats des tests d'efficacité réalisés lors d'essais industriels.

i) Traitement d'ambiance

Après contamination volontaire de l'ambiance par diffusion de suspensions microbiennes, une solution de désinfectant a été nébulisée dans les conditions suivantes:

10 ml de solution à 5%/m3
1 heure - 20°C - 15° hygrométrie

 Population
initiale
Dénombrement sur boîtes
Avant
traitement
Après
traitement
Escherichia coli> 108 g/ml1000
Staphylococcus> 108 g/ml2501
Streptococcus faecalis> 108 g/ml1000
Mycobacterium smegmatis> 108 g/ml2001
Pseudomonas fluorescens> 108 g/ml2501

ii) Traitement des surfaces

Des membranes de filtration de suspensions microbiennes ont été nébulisées avec la solution désinfectante, en position verticale et horizontale.

Germes testésSurf. horizontaleSurf. verticale
AvantAprèsAvantAprès
Escherichia coli3941247
 1310  
Staphylococcus aureus870Incomptable130
Pseudomonas fluorescens526Incomptable250
 Incomptable49  
Geotrichum candidum71313
 533  
Mucor mucedo728483

L'efficacité du désinfectant en décontamination d'ambiance est donc prouvée. En nébulisation sur les surfaces, le produit apporte une bonne réduction du taux microbien.

Les composés d'ammoniums quaternaires

Ce sont des substances du type:

Chlorure de lauryl-diméthyl-benzyl ammonium ou chlorure de benzalkonium

L'efficacité de ce type de substances actives résulte de l'association de l'abaissement de la tension superficielle (ce sont des tensio-actifs cationiques) et de la polarité de la molécule.

Les ammoniums quaternaires agissent par inactivation des enzymes et dénaturation des protéines cellulaires.

L'adsorption des ammoniums quaternaires à la surface des cellules perturbe la perméabilité de la paroi; les substances contenues dans la cellule se retrouvent dans le milieu extérieur, entraînant la destruction de celle-ci.

La haute teneur en phospholipides des parois des bactéries gram + rend les ammoniums quaternaires plus efficaces contre ces bactéries que contre les bactéries gram-.

Aux concentrations d'utilisation, ces produits sont d'une manipulation aisée.

Ils n'attaquent ni les matières synthétiques ni les métaux.

Ils sont inodores et possèdent une bonne tolérance dermique malgré un effet dégraissant.

On peut les utiliser en combinaison avec des produits acides ou alcalins, dont ils renforcent l'action détersive.

Les composés d'ammonium quaternaire ont un spectre d'activité moins large que celui des halogènes ou des peroxydes. Ils sont peu efficaces sur les spores et faiblement virulicides. Pour détruire les gram-, il est nécessaire d'employer des concentrations plus fortes ou des temps de contact plus longs que pour les gram +.

Les souillures protéidiques, la cellulose ainsi que d'autres substances polymères peuvent nuire à l'efficacité des composés d'ammoniums quaternaires. Il ne faut donc utiliser les ammoniums quaternaires que dans des appareils ou sur des matériaux qui ont été, au préalable, soigneusement nettoyés.

Ces formulations développent souvent beaucoup de mousse, ce qui limite leur utilisation.

Une solution désinfectante d'un produit commercial à base d'ammonium quaternaire à la concentration de 0,2% peut descendre la tension superficielle à 35–37 dynes/cm. Pour obtenir le même résultat avec une solution à base de savons d'ampholytes, il faudra une concentration de l'ordre de 1%.

Au cours de ces dernières années, les produits à base d'ammoniums quaternaires ont perdu de leur prestige. A plusieurs reprises, l'attention a été attirée sur les résidus que ces produits laissent sur les surfaces traitées. En effet, lors de la transformation du lait contenant des bactéries lactiques, ces résidus peuvent entraîner des perturbations. C'est pour cette raison que leur utilisation a été interdite en France, dans les industries laitières.

Avantages

Inconvénients

Exemple de désinfectant à base d'ammoniums quaternaires

i) Caractéristiques physico-chimiques

- Présentationliquide
- Densité à 20°C0,99
- pH de la solution à 1%7,1

ii) Activité microbicide

Test 3×5 selon la norme AFNOR NFT 72-150

Concentration en (V/V)
SouchesPopulations
initiales
bact/ml
0,050,10,20,30,4
Pseudomonas fluorescens TCC 1739728,9.106EEE00
Escherichia coli ATCC 1853696.106EEE00
Staphylococcus oxford IPP 531544,8.106EE000
Streptococcus faecalis ATCC 105419,1.106790170000
Mycobacterium smegmatis IPP 73267,2.106EE000
pH de réaction6,97,27,27,27,3

Concentration efficace = 0,3 (V/V).

iii) Efficacité sur levures et moisissures

Test de suspension effectué selon les normes de la DLG allemande

Souches
testées
Température
10°C40°C
Temps de contact (mn)
12,5510204012,5510
Saccharomyces cerevisiae+---------
Rhodotorula species+---------
Mycoderma species+---------
Oospora lactis+---------

iv) Activité fongicide

D'après le test de suspension de la DLG à 20 °C

Germes testésConcentration en %
0,10,25
Aspergillus niger (2.107 g/ml)40* 40
Penicillium expansum (3.107 g/ml)101
Penicillium verrucosum var. cyclopium (2.107 g/ml)101
Trichoderma viride (2.107 g/ml)2010
Rhizopus stolonifer105
Cladosporium cladosporicides (7.107 g/ml)2010

* Temps de destruction en minutes.

Les savons ampholytes

Ce sont des composés constitués d'un acide aminé substitué avec une longue chaîne alkylamine.

R1 - NH - (CH2)2 - NH - (CH2)2 - NH - CH2 - COOH, H Cl

Mode d'action

Le pouvoir désinfectant augmente avec le nombre de groupements basiques.

Les cellules incorporent les amphotères en lieu et place des acides aminés habituels, ce qui provoque des perturbations dans les structures cellulaires.

Comme les ammoniums quaternaires, les amphotères sont plus efficaces contre les bactéries gram+ que contre les bactéries gram-.

La concentration normale d'emploi des ampholytes (1 000 mg/litre) est environ quatre fois supérieure à celle des ammoniums quaternaires d'où les risques importants de traces résiduelles.

Ils sont difficilement rinçables. Il peut après un bon rinçage rester de 1 à 5 mg de produit sur du verre.

Les défenseurs des amphotères diront que ceux-ci:

Les détracteurs des amphotères diront que:

Avantages

Inconvénients


Page précédente Début de page Page suivante